Digitonin
Structural Formula Vector Image
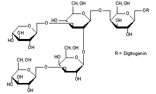
Title: Digitonin
CAS Registry Number: 11024-24-1
Additional Names: Digitin
Molecular Formula: C56H92O29
Molecular Weight: 1229.31
Percent Composition: C 54.71%, H 7.54%, O 37.74%
Literature References: Obtained from the seeds of Digitalis purpurea L., Scrophulariaceae. Extraction procedure: Gisvold, J. Am. Pharm. Assoc. 23, 664 (1934). Purification of commercial digitonin and its separation into two fractions: G. Ruhenstroth-Bauer, P. M. Breitenfeld, Z. Physiol. Chem. 302, 111 (1955). Structure: Tschesche, Wulff, Tetrahedron 19, 621 (1963). Use as clinical reagent: H. H. Leffler, Am. J. Clin. Pathol. 31, 310 (1959).
Properties: Crystals from alc, sinters 225°. Indistinct mp 235-240°. [a]D20 -54° (0.45 g in 15.8 ml methanol). One gram dissolves in 57 ml abs alc, in 220 ml 95% alc. Practically insol in water, forming a soapy suspension. Also practically insol in chloroform, ether.
Melting point: Indistinct mp 235-240°
Optical Rotation: [a]D20 -54° (0.45 g in 15.8 ml methanol)
Use: Clinical reagent (cholesterol determination).

Other Monographs:
TetrahydropyranBamipineCalcium Phenolsulfonaten-Butylmalonic Acid
Uva UrsiDPQSilver FluorideColony Stimulating Factors
Fuller's EarthKaempferolGold TrioxideSodium Sesquicarbonate
d-Bornyl α-BromoisovalerateAlibendolMevinphosPotassium Phosphite
©2006-2023 DrugFuture->Chemical Index Database