Gentian Violet
Structural Formula Vector Image
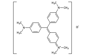
Title: Gentian Violet
CAS Registry Number: 548-62-9
CAS Name: N-[4-[Bis[4-(dimethylamino)phenyl]methylene]-2,5-cyclohexadien-1-ylidene]-N-methylmethanaminium chloride
Additional Names: C.I. Basic Violet 3; hexamethylpararosaniline chloride; hexamethyl-p-rosaniline chloride; aniline violet; crystal violet; methylrosanilinium chloride; C.I. 42555
Trademarks: Axuris (Fournier); Badil (Bayer); Gentiaverm (Berlin-Chemie); Pyoktanin (Merck KGaA)
Molecular Formula: C25H30ClN3
Molecular Weight: 407.98
Percent Composition: C 73.60%, H 7.41%, Cl 8.69%, N 10.30%
Literature References: Prepn and properties: Colour Index vol. 4 (3rd ed., 1971) p 4391. Toxicity studies: H. C. Hodge et al., Toxicol. Appl. Pharmacol. 22, 1 (1972). Review of metabolism and mode of action: R. Docampo, S. N. Moreno, Drug Metab. Rev. 22, 161-178 (1990); of use as a biological stain: Conn's Biological Stains, R. W. Horobin, J. A. Kiernan, Eds. (BIOS Scientific Publishers Ltd, Oxford, UK, 10th ed., 2002) 193-195.
Properties: Dark green powder or greenish, glistening pieces with metallic luster. Soly (%): water 0.2-1.7; ethanol 3-14; acetone 0.4; chloroform 5.1. Insol in xylene. Absorption max (water): 590 nm. Changes from yellow at pH 0.0 to blue-violet at pH 2.0. LD50 orally in mice, rats: 1.2, 1.0 g/kg (Hodge).
Absorption maximum: Absorption max (water): 590 nm
Toxicity data: LD50 orally in mice, rats: 1.2, 1.0 g/kg (Hodge)
NOTE: Commercial product, which is usually admixed with pentamethylpararosaniline chloride and tetramethylpararosaniline chloride, contains not less than 96% gentian violet.
Use: As dye for wood, silk, paper; in inks; as biological stain.
Therap-Cat: Anti-infective (topical). Has been used as anthelmintic (Nematodes). Blood additive to prevent transmission of Chagas' disease by blood transfusion.
Therap-Cat-Vet: Antimicrobial (topical); mycostatic agent in poultry feed.
Keywords: Anthelmintic (Nematodes); Antiseptic/Disinfectant; Dyes.

Other Monographs:
CalicheamicinsPantothenic AcidDiamthazole Dihydrochloride2-Aminobenzothiazole
2,3-Dimercapto-1-propanesulfonic AcidPentanePolidexideBiocytin
Germanium TetrafluorideCadmium FluoridePrulifloxacinZolpidem
CarmustineThioridazineSporidesmolidesPhosphorus Trichloride
©2006-2023 DrugFuture->Chemical Index Database