Desonide
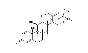
Structural Formula Vector Image
Title: Desonide
CAS Registry Number: 638-94-8
CAS Name: (11b,16a)-11,21-Dihydroxy-16,17-[(1-methylethylidene)bis(oxy)]pregna-1,4-diene-3,20-dione
Additional Names: 11b,16a,17,21-tetrahydroxypregna-1,4-diene-3,20-dione cyclic 16,17-acetal with acetone; 16a-hydroxyprednisolone-16a,17-acetonide; 11b,21-dihydroxy-16a,17-isopropylidenedioxy-1,4-pregnadiene-3,20-dione; 16a-hydroxy-D1-hydrocortisone-16a,17a-acetonide; 16a,17a-isopropylidenedioxyprednisolone; prednacinolone
Manufacturers' Codes: D-2083
Trademarks: Locapred (Fabre); Locatop (Fabre); Sterax (Alcon); Steroderm (De Angeli); Topifug (Wolff); Tridesilon (Miles)
Molecular Formula: C24H32O6
Molecular Weight: 416.51
Percent Composition: C 69.21%, H 7.74%, O 23.05%
Literature References: Prepn and activity: Bernstein et al., J. Am. Chem. Soc. 81, 4573 (1959); Bernstein, Allen, US 2990401 (1961 to Am. Cyanamid); Lee et al. and Diassi, Principe, US 3536586 and US 3549498 (both 1970 to Squibb). Pharmacological and toxicological studies: Mascitelli-Coriandoli, Fraia, Arzneim.-Forsch. 20, 111 (1970); Phillips et al., Toxicol. Appl. Pharmacol. 20, 522 (1971). Structure-activity studies: Ringler et al., Proc. Soc. Exp. Biol. Med. 107, 451 (1961). Chemical and physical properties: Mantica et al., Arzneim.-Forsch. 20, 109 (1970).
Properties: Small plates or white to off-white odorless powder, mp 274-275° from methanol (Mantica); also reported as mp 263-266° from ethyl acetate-petr ether (Bernstein). [a]D25 +123° (c = 0.5 in DMF). uv max: 242 nm (E1%1cm 356). LD50 in rats (mg/kg): 93 s.c. (Phillips).
Melting point: mp 274-275° from methanol (Mantica); mp 263-266° from ethyl acetate-petr ether (Bernstein)
Absorption maximum: uv max: 242 nm (E1%1cm 356)
Toxicity data: LD50 in rats (mg/kg): 93 s.c. (Phillips)
Therap-Cat: Anti-inflammatory.
Keywords: Glucocorticoid.

Other Monographs:
SilodosinDaclizumabStannous PyrophosphateSecalonic Acids
VinblastineSulfabenzamideGlutaraldehyde1,1-Diphenyl-2-picrylhydrazyl (Free Radical)
Pyridoxamine DihydrochlorideTricaineAmmonium Salicylateβ-Propiolactone
Aluminum PhosphideTrichlorofluoromethaneZirconiumOil of Cumin
©2006-2023 DrugFuture->Chemical Index Database