Daptomycin
Structural Formula Vector Image
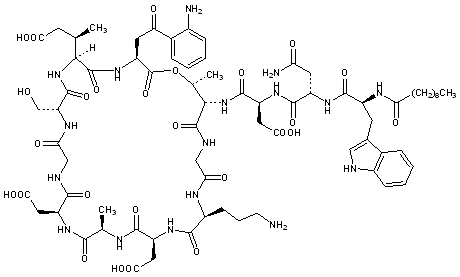
Title: Daptomycin
CAS Registry Number: 103060-53-3
Manufacturers' Codes: LY-146032
Trademarks: Cidecin (Cubist); Cubicin (Cubist)
Molecular Formula: C72H101N17O26
Molecular Weight: 1620.67
Percent Composition: C 53.36%, H 6.28%, N 14.69%, O 25.67%
Literature References: Cyclic lipopeptide antibiotic derived from a fermentation product of Streptomyces roseosporus; disrupts plasma membrane function in gram-positive bacteria. Prepn: B. J. Abbott et al., US 4537717 (1985 to Eli Lilly); M. Debono et al., J. Antibiot. 41, 1093 (1988). Mechanism of action study: N. E. Allen et al., Antimicrob. Agents Chemother. 31, 1093 (1987); and structure determn: D. Jung et al., Chem. Biol. 11, 949 (2004). Comparative in vitro antibacterial spectrum: I. A. Critchley et al., J. Antimicrob. Chemother. 51, 639 (2003). Clinical pharmacokinetics: J. R. Woodworth et al., Antimicrob. Agents Chemother. 36, 318 (1992). Clinical trial in skin infections: R. D. Arbeit et al., Clin. Infect. Dis. 38, 1673 (2004). Review of pharmacology and clinical evaluations: F. P. Tully et al., Expert Opin. Invest. Drugs 8, 1223-1238 (1999); L. P. Kotra Curr. Opin. Anti-Infect. Invest. Drugs 2, 185-205 (2000).
Properties: uv max (ethanol): 220, 260 nm (e 46500, 10000). LD50 i.v. in mice: 600 mg/kg (Debono).
Absorption maximum: uv max (ethanol): 220, 260 nm (e 46500, 10000)
Toxicity data: LD50 i.v. in mice: 600 mg/kg (Debono)
Therap-Cat: Antibacterial.
Keywords: Antibacterial (Antibiotics); Polypeptides.

Other Monographs:
Tetraphenylarsonium ChlorideDipropalinp-NitrobiphenylSpherophysine
FomesafenPotassium ThiocarbonatePiperidolateBoldo
PropanocaineIodine TrichlorideBenzanthroneTetraiodoethylene
ParamethadioneSilver PicrateColpormonImidazole Salicylate
©2006-2023 DrugFuture->Chemical Index Database