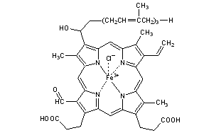
Cytohemin
Structural Formula Vector Image
Title: Cytohemin
CAS Registry Number: 19554-22-4
CAS Name: (SP-5-13)-Chloro[(4E,8E)-7-ethenyl-17-formyl-12-(1-hydroxy-5,9,13-trimethyl-4,8,12-tetradecatrienyl)-3,8,13-trimethyl-21H,23H-porphine-2,18-dipropanoato(4-)-kN21,kN22,kN23,kN24]ferrate(2-) dihydrogen
Additional Names: chloro[dihydrogen-3-formyl-8-(1-hydroxy-5,9,13-trimethyltetradecyl)-7,12,17-trimethyl-13-vinyl-2,18-porphinedipropionato(2-)]iron
Molecular Formula: C49H56ClFeN4O6
Molecular Weight: 888.29
Percent Composition: C 66.25%, H 6.35%, Cl 3.99%, Fe 6.29%, N 6.31%, O 10.81%
Literature References: Isoln from heart muscle: Warburg, Gewitz, Z. Physiol. Chem. 288, 1 (1951); Lemberg, Biochem. Z. 338, 97 (1963). Structure: M. Grassl et al., ibid. 337, 35 (1963); 338, 771 (1963). Side chain appears to be a mixture of saturated and unsaturated forms: R. Sayffert et al., 3rd Proc. Colloq. Hemes Hemoproteins, 1966, 45-59. Unsaturated form drawn.
Properties: Amorphous powder.

Other Monographs:
GuanineSulfanilic AcidIsopropyl ChlorideNickel Acetylacetonate
CephalothinN,N-DimethyltryptamineViquidilPergolide
DicyanodiamidePhosphorus PentafluorideLethane® 60Calcium Arsenate
StavudineLead Bromide1-[(2-Aminoethyl)amino]-2-propanolThorium Iodide
©2006-2023 DrugFuture->Chemical Index Database