Clinprost
Structural Formula Vector Image
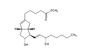
Title: Clinprost
CAS Registry Number: 88931-51-5
CAS Name: (3aS,5R,6R,6aS)-1,3a,4,5,6,6a-Hexahydro-5-hydroxy-6-(3-hydroxy-1-octenyl)-2-pentalenepentanoic acid methyl ester
Additional Names: isocarbacyclin methyl ester
Manufacturers' Codes: TEI-9090; TTC-909
Molecular Formula: C22H36O4
Molecular Weight: 364.52
Percent Composition: C 72.49%, H 9.95%, O 17.56%
Literature References: Chemically stable prostacyclin (PGI2) analog. Prepn: S. Kurozumi, S. Ikegami, WO 8402902; eidem, US 4736058 (1984, 1988 both to Teijin); M. Shibasaki et al., Tetrahedron Lett. 24, 3493 (1983). Stereosynthesis: H. Park et al., Bull. Korean Chem. Soc. 14, 86 (1993). Series of articles on pharmacology: Arzneim.-Forsch. 45, 967-993 (1995). Clinical trial as lipid emulsion in peripheral vascular disorders: K. Esato, Adv. Prostaglandin Thromboxane Leukotriene Res. 23, 405 (1995).
Properties: Colorless oil.
 
Derivative Type: Free acid
CAS Registry Number: 88911-35-7
Additional Names: Isocarbacyclin; 9(O)-methano-D6(9)-prostaglandin I1
Manufacturers' Codes: TEI-7165
Molecular Formula: C21H34O4
Molecular Weight: 350.49
Percent Composition: C 71.96%, H 9.78%, O 18.26%
Properties: Solid, mp 73-79°. [a]D25 +16° (c = 0.25 in MeOH).
Melting point: mp 73-79°
Optical Rotation: [a]D25 +16° (c = 0.25 in MeOH)
 
Therap-Cat: Antithrombotic.
Keywords: Antithrombotic; Prostaglandin/Prostaglandin Analog.

Other Monographs:
DehydroemetineIbuprofeno-PhthalaldehydeNivalenol
FerriteCynarin(e)TetrantoinLopinavir
Thallium CyanideSulbactamBasic Lead CarbonateTritolyl Phosphate
Allopregnane-3β,11β,17α,21-tetrol-20-oneNickel Carbonate HydroxidePheniramineTetraglycine Hydroperiodide
©2006-2023 DrugFuture->Chemical Index Database