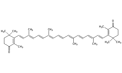
Canthaxanthin
Structural Formula Vector Image
Title: Canthaxanthin
CAS Registry Number: 514-78-3
CAS Name: b,b-Carotene-4,4¢-dione
Additional Names: 4,4¢-dioxo-b-carotene; Food Orange 8; C.I. 40850
Trademarks: Carophyll Red (Roche); Orobronze (Applipharm); Roxanthin Red 10 (Roche); Carotaben plus
Molecular Formula: C40H52O2
Molecular Weight: 564.84
Percent Composition: C 85.06%, H 9.28%, O 5.67%
Literature References: All trans-carotenoid pigment widely distributed in nature. Isoln from the edible mushroom Cantharellus cinnabarinus Adans. ex Fr., Agaricaceae: Haxo, Bot. Gaz. 112, 228 (1950); also isolated from flamingo feathers. Structure and synthesis: Isler et al., Verh. Naturforsch. Ges. Basel 67, 379 (1956); Zeller et al., Helv. Chim. Acta 42, 841 (1959). Alternate syntheses: M. Akhtar, B. C. L. Weedon, J. Chem. Soc. 1959, 4058; R. Rüegg, G. Saucy, US 2983752 and J. D. Surmatis, US 3311656 (1961, 1967 both to Hoffmann-La Roche); J. D. Surmatis et al., Helv. Chim. Acta 53, 974 (1970); M. Rosenberger et al., Pure Appl. Chem. 51, 871 (1979); eidem, J. Org. Chem. 47, 2130 (1982).
Properties: Violet crystals from methylene chloride, dec 217°. Absorption max (cyclohexane): 470 nm (E1%1cm 2250). Sol in chloroform, oils. Oil solns are more red than those of b-carotene.
Absorption maximum: Absorption max (cyclohexane): 470 nm (E1%1cm 2250)
Use: Permissible color additive for food and drugs (exempt from certification): Fed. Regist. 34, no. 5 (Jan. 8, 1969). Oral suntanning agent.

Other Monographs:
Liver ExtractVicianinFerric Sodium EdetateFexofenadine
5-(Hydroxymethyl)-2-furaldehydep-Cresyl PhenylacetateSilver SelenateGuaiacol Carbonate
Isopropyl AcetoacetateAraliaMethyl DihydrojasmonateDisul-sodium
Garenoxacin3-Methyl-5-phenylhydantoinKiku OilBenzyl Bromide
©2006-2023 DrugFuture->Chemical Index Database