Ferric Sodium Edetate
Structural Formula Vector Image
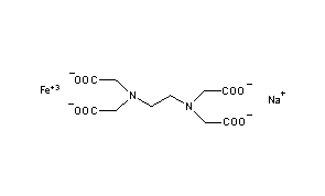
Title: Ferric Sodium Edetate
CAS Registry Number: 15708-41-5
CAS Name: (OC-6-21)-[[N,Nยข-1,2-Ethanediylbis[N-[(carboxy-kO)methyl]glycinato-kN,kO]](4-)]-ferrate(1-) sodium
Additional Names: sodium [(ethylenedinitrilo)tetraacetato]ferrate(1-); (ethylenedinitrilo)tetraacetic acid sodium salt iron complex; ferric monosodium ethylenediaminetetraacetate; edetic acid sodium iron salt; sodium iron edetate; sodium feredetate
Trademarks: Ferrostrane; Ferrostrene; Sybron (Parke-Davis)
Molecular Formula: C10H12FeN2NaO8
Molecular Weight: 367.05
Percent Composition: C 32.72%, H 3.30%, Fe 15.21%, N 7.63%, Na 6.26%, O 34.87%
Literature References: Prepd from disodium ethylenediaminetetraacetic acid and ferric nitrate: Sawyer, McKinnie, J. Am. Chem. Soc. 82, 4191 (1960).
Properties: Crystals from water + ethanol.
Therap-Cat: Hematinic.
Keywords: Hematinic.

Other Monographs:
Phenyltrimethylammonium Iodideα-Aminoadipic AcidSodium SulfideIsoamyl Bromide
Isonicotinic Acid Diethylamide3-PentanolBifenazateCobaltous Iodide
Maleamic AcidFenpropimorphBis(1-methylamyl) Sodium SulfosuccinateTrimetazidine
Allyl Cyanideα-Bromo-n-caproic AcidLeucomycinsOxametacine
©2006-2023 DrugFuture->Chemical Index Database