Butirosin
Structural Formula Vector Image
Title: Butirosin
CAS Registry Number: 12772-35-9
Additional Names: Ambutyrosin
Molecular Formula: C21H41N5O12
Molecular Weight: 555.58
Percent Composition: C 45.40%, H 7.44%, N 12.61%, O 34.56%
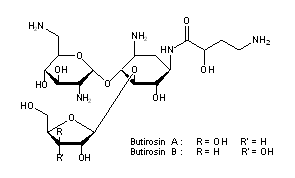
Literature References: Aminoglycosidic antibiotic complex obtained from fermentation filtrates of mucoid strains of Bacillus circulans (NRRL B-3312 and B-3313). Consists of two components, butirosin A (80-85%) and butirosin B (15-20%), isomers which differ only in the configuration at one carbon atom in the pentose moiety. Prepn: P. W. K. Woo et al., DE 1914527; eidem, US 3541078 (1969, 1970 both to Parke, Davis). Isoln and characterization: Dion et al., Antimicrob. Agents Chemother. 2, 84 (1972). Structures: Woo et al., Tetrahedron Lett. 1971, 2617, 2621, 2625. Activity: Howells et al., Antimicrob. Agents Chemother. 2, 79 (1972); Heifetz et al., ibid. 89. Synthesis of butirosin B: Ikeda et al., J. Antibiot. 25, 741 (1972); Akita et al., ibid. 26, 365 (1973). Proposed biosynthetic pathway to the butirosins: K. Takeda et al., ibid. 31, 250 (1978).
 
Derivative Type: Butirosin sulfate dihydrate
CAS Registry Number: 51022-98-1
Molecular Formula: C21H41N5O12.2H2SO4.2H2O
Molecular Weight: 787.76
Percent Composition: C 32.02%, H 6.27%, N 8.89%, O 44.68%, S 8.14%
Properties: No sharp mp, dec ~225°. [a]D25 +29° (c = 2 in water). pKa¢ (water): 5.5, 7.2, 8.5, 9.4. Very sol in water; moderately sol in methanol; slightly sol in ethanol. LD50 i.v. in mice: 450-500 mg/kg (Howells).
pKa: pKa¢ (water): 5.5, 7.2, 8.5, 9.4
Optical Rotation: [a]D25 +29° (c = 2 in water)
Toxicity data: LD50 i.v. in mice: 450-500 mg/kg (Howells)
 
Derivative Type: Butirosin A
CAS Registry Number: 34291-02-6
CAS Name: (S)-O-2,6-Diamino-2,6-dideoxy-a-D-glucopyranosyl-(1®4)-O-[b-D-xylofuranosyl-(1®5)]-N1-(4-amino-2-hydroxy-1-oxobutyl)-2-deoxystreptamine
Properties: White, amorphous solid, melts with dec over wide range, beginning at ~149°. [a]D25 +26° (c = 1.46 in water). pKa¢ (water): 5.6, 7.3, 8.7, 9.8.
pKa: pKa¢ (water): 5.6, 7.3, 8.7, 9.8
Optical Rotation: [a]D25 +26° (c = 1.46 in water)
 
Derivative Type: Butirosin B
CAS Registry Number: 34291-03-7
Additional Names: 1-N-[(S)-4-Amino-2-(hydroxybutyryl)]ribostamycin
Properties: Occurs as a dihydrate, melts over wide range beginning at 146°. [a]D25 +33° (c = 1.5 in water). pKa¢ (water): 5.3, 7.1, 8.6, 9.8.
pKa: pKa¢ (water): 5.3, 7.1, 8.6, 9.8
Optical Rotation: [a]D25 +33° (c = 1.5 in water)
 
Therap-Cat: Antibacterial.
Keywords: Antibacterial (Antibiotics); Aminoglycosides.

Other Monographs:
Anethole TrithioneTigecyclineHadacidinDragon's Blood
Aluminum OleateGermaneMethyl ThiocyanateDibromochloropropane
Naphthalic AcidDiethofencarbPyrinolineStreptozocin
CubebCloperastine4-(5-Isopropenyl-2-methyl-1-cyclopenten-1-yl)-2-butanoneUsnic Acid
©2006-2023 DrugFuture->Chemical Index Database