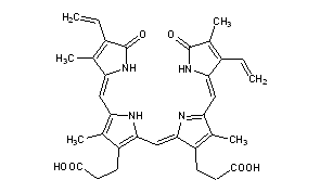
Biliverdine
Structural Formula Vector Image
Title: Biliverdine
CAS Registry Number: 114-25-0
CAS Name: 3,18-Diethenyl-1,19,22,24-tetrahydro-2,7,13,17-tetramethyl-1,19-dioxo-21H-biline-8,12-dipropanoic acid
Additional Names: 1,19,22,24-tetrahydro-2,7,13,17-tetramethyl-1,19-dioxo-3,18-divinylbiline-8,12-dipropionic acid; 1,3,6,7-tetramethyl-4,5-dicarboxyethyl-2,8-divinylbilenone; 4,5-di(2-carboxyethyl)-1,3,6,7-tetramethyl-2,8-divinylbilatriene; dehydrobilirubin; uteroverdine; oöcyan
Molecular Formula: C33H34N4O6
Molecular Weight: 582.65
Percent Composition: C 68.03%, H 5.88%, N 9.62%, O 16.48%
Literature References: Precursor of bilirubin. Formed in the body from hemoglobin. The bile of amphibia and of birds contains biliverdine only. Does not occur in normal human bile or normal human serum, but regularly accompanies bilirubin in the serum of patients with carcinomatous obstruction of the bile duct, and frequently in that of patients with liver cirrhosis, catarrhal jaundice, and bile duct occlusion by gallstones. Can be obtained by autooxidation of bilirubin in alkaline soln but the yield is poor: Lemberg, Biochem. J. 28, 978 (1934); better yields by oxidation of bilirubin with ferric chloride in glacial acetic acid: Lemberg, Ann. 499, 25 (1932); by coupled oxidation of hemoglobin and ascorbic acid: Lemberg et al., Biochem. J. 35, 363 (1941); by oxidation of bilirubin with ferric chloride in methanol: Gray et al., J. Chem. Soc. 1961, 2264. Crystal and molecular structure: W. S. Sheldrick, J. Chem. Soc. Perkin Trans. 2 1976, 1457. Comprehensive reviews: Lemberg, Legge, Hematin Compounds and Bile Pigments (New York, 1949); With, Bile Pigments (Academic Press, New York, 1968).
Properties: Dark green plates or prisms with violet surface color from methanol. Does not melt, blackens and dec above 300°. Absorption spectrum: Gray et al., loc. cit. Soluble in methanol, ether, chloroform, carbon disulfide, benzene, soln of alkali hydroxides. Gives the later color changes of the Gmelin test starting with green.
 
Derivative Type: Dimethyl ester
Molecular Formula: C35H38N4O6
Molecular Weight: 610.70
Percent Composition: C 68.83%, H 6.27%, N 9.17%, O 15.72%
Properties: Green crystals from chloroform + petr ether. When produced from bilirubin, mp 215-223°; synthetic 206-209°; from hemin 208°; from hemoglobin 216°.
Melting point: mp 215-223°; synthetic 206-209°; from hemin 208°; from hemoglobin 216°
 
Derivative Type: Dimethyl ester ferrichloride
Molecular Formula: C35H39Cl4FeN4O6
Molecular Weight: 809.36
Percent Composition: C 51.94%, H 4.86%, Cl 17.52%, Fe 6.90%, N 6.92%, O 11.86%
Properties: (Green hemin ester), pleochroitic elongated platelets, no definite mp. Ferric chloride and HCl can be removed by washing the chloroform soln with water.

Other Monographs:
AcenocoumarolHypusineAmmonium Platinic ChlorideLead Selenate
Centaury, AmericanBeryllium CarbideZosuquidarChromic Hydroxide
Lead SeleniteOil of Lemon GrassTemsirolimusPhenanthrenequinone
3-O-Lauroylpyridoxol DiacetateNeotameIsobutyl n-ButyrateMonocrotophos
©2006-2023 DrugFuture->Chemical Index Database