Benzoquinonium Chloride
Structural Formula Vector Image
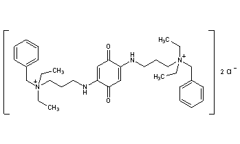
Title: Benzoquinonium Chloride
CAS Registry Number: 311-09-1
CAS Name: N,N¢-[(3,6-Dioxo-1,4-cyclohexadiene-1,4-diyl)bis(imino-3,1-propanediyl)]bis[N,N-diethylbenzenemethanaminium]dichloride
Additional Names: [2,5-p-benzoquinonylenebis(iminotrimethylene)]bis[benzyldiethylammonium chloride]; 2,5-bis(3-diethylaminopropylamino)benzoquinone bis(benzyl chloride)
Manufacturers' Codes: Win-2747
Molecular Formula: C34H50Cl2N4O2
Molecular Weight: 617.69
Percent Composition: C 66.11%, H 8.16%, Cl 11.48%, N 9.07%, O 5.18%
Literature References: Prepn: C. J. Cavallito et al., J. Am. Chem. Soc. 72, 2661 (1950); C. J. Cavallito, US 2844585 (1958 to Sterling).
Properties: Red crystals from ethanol, mp 191-195°. Freely sol in water.
Melting point: mp 191-195°
 
 
Status: This monograph has been retired and is no longer subject to revision or update.

Other Monographs:
n-Butylmercuric ChlorideAlicaforsenIloperidoneDecamethyltetrasiloxane
Ethyl α-ChloropropionatePhosphorus PentachlorideCrimidineBromoacetic Acid
3-OctanoneSparsiflorineRisedronic AcidTriclofenol Piperazine
TartrazineDrometrizoleLH-RHAcetylcholine Chloride
©2006-2023 DrugFuture->Chemical Index Database