Vitamin B12
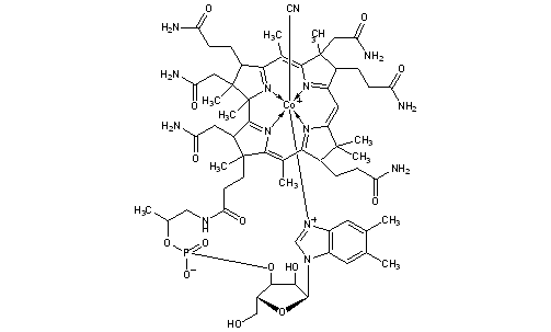
Structural Formula Vector Image
Title: Vitamin B12
CAS Registry Number: 68-19-9
Additional Names: Cyanocobalamin; 5,6-dimethylbenzimidazolyl cyanocobamide; cobinamide cyanide phosphate 3¢-ester with 5,6-dimethyl-1-a-D-ribofuranosylbenzimidazole inner salt; LLD factor; Lactobacillus lactis Dorner factor; extrinsic factor; antipernicious anemia principle
Trademarks: Anacobin; Bedoz; Behepan (Pfizer); Berubi (Cesra); Betalin-12 (Lilly); Betolvex (Dumex); Cobalin (Link); Crystamine; Cytacon (Goldshield); Cytamen (UCB); Cytobion (Merck KGaA); Docémine (Roussel Uclaf); Docigram (UCB); Fresmin (Takeda); Millevit (Abbott); Redisol (Merck & Co.); Rubesol; Rubramin PC (BMS); Vitarubin (Streuli)
Molecular Formula: C63H88CoN14O14P
Molecular Weight: 1355.37
Percent Composition: C 55.83%, H 6.54%, Co 4.35%, N 14.47%, O 16.53%, P 2.29%
Literature References: Prototype of the family of naturally occurring cobalt coordination compds known as corrinoids. Analogs of vitamin B12 which differ only in the b-ligand of the cobalt are termed cobalamins. Synthesized almost exclusively by bacteria. Dietary sources include fish, meat, liver, and dairy products; plants have little or no cobalamins. Also found in soil and water, the richest sources being activated sewage sludge (see Milorganite) or manure. Converted by the body into its bioactive forms, methylcobalamin and cobamamide, q.q.v., which serve as enzyme cofactors. Severe deficiency may result in megaloblastic anemia and/or neurological impairment. Isoln from mammalian liver: E. L. Rickes et al., Science 107, 396 (1948); from cultures of Streptomyces griseus: eidem, ibid. 108, 634 (1948); E. L. Rickes, T. R. Wood, US 2563794 (1951 Merck & Co.). Fermentation process using Pseudomonas denitrificans: R. A. Long, US 3018225 (1962 to Merck & Co.). Purification from sewage sludge: P. J. Van Melle, US 3057851 (1962 to Armour). Structure: D. C. Hodgkin et al., Nature 176, 325 (1955); R. Bonnett et al., ibid. 328. X-ray structure analysis: D. C. Hodgkin, Fortschr. Chem. Org. Naturst. 15, 167-227 (1958). Stereochemistry: Stora, Bull. Soc. Chim. Fr. 1959, 1421. Total synthesis: R. B. Woodward, Pure Appl. Chem. 33, 145 (1973). Nomenclature: IUPAC rules, ibid. 48, 497 (1976). Gastrointestinal absorption is dependent on Castle's intrinsic factor, q.v., and haptocorrin (R-protein); transport of the absorbed vitamin is mediated by transcobalamins: B. Seetharam, D. H. Alpers, Annu. Rev. Nutr. 2, 343-369 (1982); R. Gräsbeck, Clin. Biochem. 17, 99-107 (1984). Role of Co-C bond in B12-dependent reactions: J. M. Pratt, Pure Appl. Chem. 65, 1513 (1993). Review of biosynthesis: A. I. Scott, Angew. Chem. Int. Ed. 32, 1223-1243 (1993). Comprehensive description: J. Kirschbaum, Anal. Profiles Drug Subs. 10, 183-288 (1981). Book: B12 vols. 1 and 2, D. Dolphin, Ed. (Wiley-Interscience, New York, 1982) 672 and 506 pp. Reviews: B. T. Golding in Comprehensive Organic Chemistry vol. 5, E. Haslam, Ed. (Pergamon, New York, 1979) pp 549-584; "Vitamin B12" in Vitamins, W. Friedrich, Ed. (de Gruyter, Berlin, 1988) pp 837-928. Review of chemistry and enzymology: K. L. Brown, Chem. Rev. 105, 2075-2149 (2005).
Properties: Hygroscopic, dark red crystals. When exposed to air, may absorb ~12% water. The hydrated crystals are stable to air. Darkens at 210-220°. Not melted at 300°. [a]23656 -59 ± 9° (dil aq soln). Absorption max (water): 278, 361, 550 nm (A1%1cm 115, 204, 64). Odorless and tasteless. One gram dissolves in ~80 ml water. Aq solns are neutral, maximum stability in the pH range 4.5-5. Solns in this pH range can be autoclaved for 20 min at 120°. Soluble in alc. Insol in acetone, CHCl3, ether.
Optical Rotation: [a]23656 -59 ± 9° (dil aq soln)
Absorption maximum: Absorption max (water): 278, 361, 550 nm (A1%1cm 115, 204, 64)
 
Derivative Type: Zinc tannate complex
Additional Names: Cyanocobalamin zinc tannate
Trademarks: Depinar (Armour Pharm.)
Literature References: Long acting injectable vitamin B12 prepn. Prepn: Thompson, US 2920015 (1960 to Armour). Comparative clinical study: A. Killander, I. Werner, Acta Haematol. 40, 305 (1968).
Properties: Practically insol in water. On reconstitution forms a colloidal suspension.
 
Therap-Cat: Vitamin (hematopoietic).
Therap-Cat-Vet: Vitamin (hematopoietic).
Keywords: Vitamin/Vitamin Source; Vitamin B12.

Other Monographs:
2,6-Diamino-2'-butyloxy-3,5'-azopyridineThiokol®Calcium OxalateThiambutene
Zirconium NitrateHexestrol Bis(β-diethylaminoethyl ether)PrucaloprideHyperforin
CyclazocineSodium SulfiteZirconium HydrideCarthamin
Alizarin Cyanine Green FTerodilineJanus Green BFormic Acid
©2006-2023 DrugFuture->Chemical Index Database