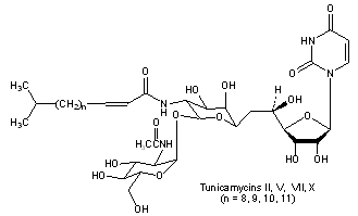
Tunicamycin
Structural Formula Vector Image
Title: Tunicamycin
CAS Registry Number: 11089-65-9
Literature References: A family of nucleoside antibiotics produced by Streptomyces lysosuperificus. Isoln, characterization: A. Takatsuki et al., J. Antibiot. 24, 215 (1971). Biological properties: A. Takatsuki, G. Tamura, ibid. 224. Effect on microorganisms: A. Takatsuki et al., ibid. 25, 75 (1972). Tunicamycin is produced as a mixture of at least 10 homologous antibiotics, the main components being tunicamycins V, VII, II and X, also referred to respectively as A, B, C, D. They contain uracil, N-acetylglycosamine, an 11-carbon aminodialdose called tunicamine, and a fatty acid linked to the amino group of tunicamine. The homologs differ in their fatty acid components, which vary in degree of saturation and chain length and branching. Structural elucidation: A. Takatsuki et al., Agric. Biol. Chem. 41, 2307 (1977); T. Ito et al., ibid. 44, 695 (1980). HPLC sepn of components: W. C. Mahoney, D. Duskin, J. Biol. Chem. 254, 6572 (1979). Approaches to synthesis: Y. Fukuda et al., Bull. Chem. Soc. Jpn. 55, 880 (1982). Tunicamycin has been shown to interfere with glycoprotein synthesis in yeast and mammalian systems: A. Takatsuki et al., Agric. Biol. Chem. 39, 2089 (1975); S. Kuo, J. O. Lampen, Arch. Biochem. Biophys. 172, 574 (1976). Effect on epidermal glycoprotein and glycosaminoglycan synthesis in vitro: I. A. King, A. Tabiowo, Biochem. J. 198, 331 (1981). Enhancement of antiviral and anticellular activity of interferon, q.v.: R. K. Maheshwari et al., Science 219, 1339 (1983). Review: A. D. Elbein, Trends Biochem. Sci. 6, 219-221 (1981). Book: Tunicamycin, G. Tamura, Ed. (Japan Sci. Soc., Tokyo, 1982) 220 pp. See also Streptovirudin.
Properties: White cryst powder, mp 234-235° (dec). [a]D20 +52° (c = 0.5 in pyridine). uv max (methanol): 205, 260 nm (E1%1cm 230, 110). Sol in alk water, pyridine, hot methanol. Slightly sol in ethanol, butanol. Practically insol in acetone, ethyl acetate, chloroform, benzene, acidic water. When dissolved in water at 100° and held for 30 min, stable at neutral and alk pH, unstable at acidic pH.
Melting point: mp 234-235° (dec)
Optical Rotation: [a]D20 +52° (c = 0.5 in pyridine)
Absorption maximum: uv max (methanol): 205, 260 nm (E1%1cm 230, 110)
Use: As a tool in studying glycoproteins in a wide variety of biological systems.

Other Monographs:
Tungsten TrioxideZolimidineZinc SalicylateThiophanate
UzarinDichlorophenarsine HydrochlorideMeloxicamTrithiocarbonic Acid
2-Naphthol-3,6-disulfonic Acidn-Octyl BromideEthiazide3,3'-Thiodipropionic Acid
BifenazateChloral AlcoholateMustard GasEthylmethylthiambutene
©2006-2023 DrugFuture->Chemical Index Database