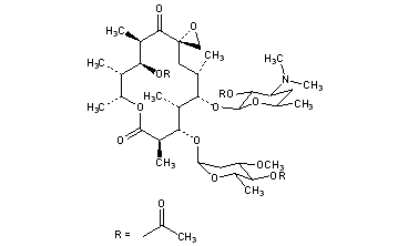
Troleandomycin
Structural Formula Vector Image
Title: Troleandomycin
CAS Registry Number: 2751-09-9
CAS Name: Oleandomycin triacetate ester
Additional Names: triacetyloleandomycin
Manufacturers' Codes: NSC-108166
Trademarks: Cyclamycin (Wyeth); Wytrion (Wyeth); Evramycin (Wyeth); TAO (Roerig); Triocetin (OFF)
Molecular Formula: C41H67NO15
Molecular Weight: 813.97
Percent Composition: C 60.50%, H 8.30%, N 1.72%, O 29.48%
Literature References: Semi-synthetic macrolide antibiotic. Prepd from oleandomycin: Celmer et al., Antibiot. Annu. 1957-1958, p 476; GB 877730 (1958 to Pfizer); M. Khristov, N. Petkov, Farmatsiya (Sofia) 27, 1 (1977), C.A. 90, 23458c (1979). Review: S. Ross, Antimicrobial Therapy, B. M. Kagan, Ed. (Saunders, Philadelphia, 1970) pp 134-144.
Properties: Crystals from isopropanol. Practically tasteless. Dec 176°. [a]D25 -23° (methanol). pKa 6.6. Soly in water <0.1 g/100 ml.
pKa: pKa 6.6
Optical Rotation: [a]D25 -23° (methanol)
Therap-Cat: Antibacterial.
Keywords: Antibacterial (Antibiotics); Macrolides.

Other Monographs:
HydromorphoneSodium Silicate SolutionAlbendazoleApiole (Dill)
Propionic Anhydride2-Amino-2-ethyl-1,3-propanediolHalobetasol PropionateLithium Silicate
Potassium Methyl SulfatePamiteplasePlasminogenFurfurylmethylamphetamine
9,10-Dimethyl-1,2-benzanthraceneN-MethylmyosmineCilomilastOrotic Acid
©2006-2023 DrugFuture->Chemical Index Database