Tribenoside
Structural Formula Vector Image
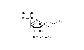
Title: Tribenoside
CAS Registry Number: 10310-32-4
CAS Name: Ethyl 3,5,6-tris-O-(phenylmethyl)-D-glucofuranoside
Manufacturers' Codes: Ba-21401
Trademarks: Alven (Firma); Flebosan (Dukron); Glyvenol (Novartis); Hemocuron (Takeda); Venex (Recordati)
Molecular Formula: C29H34O6
Molecular Weight: 478.58
Percent Composition: C 72.78%, H 7.16%, O 20.06%
Literature References: Prepn: Druey, Huber, US 3157634 (1964 to Ciba). Pharmacology: Lecomte, C.R. Seances Soc. Biol. Ses Fil. 163, 1469 (1969); Helfer, Jaques, Pharmacology 5, 23 (1971). Increase in capillary resistance in patients with rheumatoid arthritis: W. C. Dick et al., Ann. Rheum. Dis. 28, 187 (1969). GLC determn in plasma: A. Sioufi, F. Pommier, J. Pharm. Sci. 69, 167 (1980). Excretion as hippuric acid: eidem, Eur. J. Drug Metab. Pharmacokinet. 7, 223 (1982). Review of pharmacology: R. Jaques, ibid. 15, 445-460 (1977).
Properties: bp1.2 270-280°. [a]D26 +8° (chloroform).
Boiling point: bp1.2 270-280°
Optical Rotation: [a]D26 +8° (chloroform)
Therap-Cat: Sclerosing agent.
Keywords: Sclerosing Agent.

Other Monographs:
Oil of OriganumIndican (Metabolic Indican)Methyl Ethyl KetonePerfluoropropane
Vinylidene ChlorideEthyl BenzoylacetateAspirinp-Anisoyl Chloride
AllopregnaneLucanthone HydrochlorideBetulinClobenzepam
OxazepamDiisopropylamine DichloroacetateMitobronitolPicein
©2006-2023 DrugFuture->Chemical Index Database