Temocillin
Structural Formula Vector Image
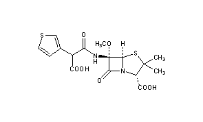
Title: Temocillin
CAS Registry Number: 66148-78-5
CAS Name: (2S,5R,6S)-6-[(Carboxy-3-thienylacetyl)amino]-6-methoxy-3,3-dimethyl-7-oxo-4-thia-1-azabicyclo[3.2.0]heptane-2-carboxylic acid
Additional Names: (6S)-6-[2-carboxy-2-(3-thienyl)acetamido]-6-methoxypenicillanic acid
Molecular Formula: C16H18N2O7S2
Molecular Weight: 414.45
Percent Composition: C 46.37%, H 4.38%, N 6.76%, O 27.02%, S 15.47%
Literature References: Semi-synthetic injectable penicillin deriv with high activity vs a large number of gram-negative bacteria, but with little activity vs gram-positive organisms. Prepn: J. P. Clayton, P. H. Bentley, DE 2600866 (1976 to Beecham), C.A. 86, 55420t (1977); P. H. Bentley et al., J. Chem. Soc. Perkin Trans. 1 1979, 2455. In vitro antibacterial activity and b-lactamase susceptibility: I. Phillips et al., J. Antimicrob. Chemother. 10, 271 (1982). Comparison to other penicillins vs H. influenzae and intestinal gram-negative rods: H. Y. Chen, J. D. Williams, ibid. 279. Pharmacokinetics and tissue penetration in healthy volunteers: R. M. Brown et al., ibid. 295. In vivo and in vitro comparison to ampicillin: R. Yogev et al., Antimicrob. Agents Chemother. 23, 182 (1983). Series of articles on microbiology, pharmacology and clinical studies: Drugs 29, Suppl. 5, 1-243 (1985).
 
Derivative Type: Disodium salt
CAS Registry Number: 61545-06-0
Manufacturers' Codes: BRL-17421
Trademarks: Temopen (SKB)
Molecular Formula: C16H16N2Na2O7S2
Molecular Weight: 458.42
Percent Composition: C 41.92%, H 3.52%, N 6.11%, Na 10.03%, O 24.43%, S 13.99%
Properties: Amorphous solid.
 
Therap-Cat: Antibacterial.
Keywords: Antibacterial (Antibiotics); ?Lactams; Penicillins.

Other Monographs:
Genistein1,1-DiphenylhydrazineNitroguanidineSempervirine
Trimethyl Orthovaleratep-DibromobenzenePiperyloneAllyl Iodide
Potassium p-AminobenzoateAluminum Calcium HydrideSulfanilamideStrophanthin
Ammonium ChlorideAmericiumMetergolinePolyoxidonium
©2006-2023 DrugFuture->Chemical Index Database