Sucralose
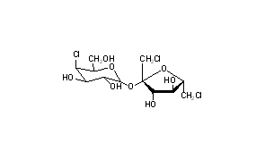
Structural Formula Vector Image
Title: Sucralose
CAS Registry Number: 56038-13-2
CAS Name: 1,6-Dichloro-1,6-dideoxy-b-D-fructofuranosyl-4-chloro-4-deoxy-a-D-galactopyranoside
Additional Names: 4,1¢,6¢-trichloro-4,1¢,6¢-trideoxy-galacto-sucrose; 1¢,4,6¢-trichlorogalactosucrose; TGS
Trademarks: Splenda (McNeil Nutritionals)
Molecular Formula: C12H19Cl3O8
Molecular Weight: 397.63
Percent Composition: C 36.25%, H 4.82%, Cl 26.75%, O 32.19%
Literature References: Chlorinated sucrose derivative with enhanced sweetness. Prepn: P. H. Fairclough et al., Carbohydr. Res. 40, 285 (1975). Prepn of crystalline anhydrous and pentahydrate: M. R. Jenner, D. Waite, EP 30804 (1981 to Tate & Lyle; Talres Dev.); eidem, US 4343934 (1982 to Talres Dev.). Use as non-nutritive sweetener: BE 850180; L. Hough et al., US 4435440 (1977, 1984 both to Tate & Lyle). In vitro activity vs cariogenic bacteria: J. Verran, D. B. Drucker, Arch. Oral Biol. 27, 693 (1982). Structure-sweetness relationship: M. Mathlouthi et al., Carbohydr. Res. 152, 47 (1986). Review: L. Hough, R. Khan, Trends Biochem. Sci. 3, 61-63 (1978).
Properties: Syrup, [a]D +68.2° (c = 1.1 in ethanol). Anhydrous crystalline form: orthorhombic, needle-like crystals, mp 130°. Intensely sweet taste.
Melting point: mp 130°
Optical Rotation: [a]D +68.2° (c = 1.1 in ethanol)
 
Derivative Type: Pentahydrate
Properties: mp 36.5°.
Melting point: mp 36.5°

Other Monographs:
ViridinAntimycin A3AcetomeroctolAntimony Thioglycollamide
2-Amino-4-methylthiazole16-EpiestriolIncadronic AcidPhenetole
Motexafin Gadolinium1,3-DichloroacetonePotassium OleateHydrogen Peroxide
1-NaphthylisocyanateMedroxyprogesteroneFlavaspidic AcidCaryophyllene
©2006-2023 DrugFuture->Chemical Index Database