Sisomicin
Structural Formula Vector Image
Title: Sisomicin
CAS Registry Number: 32385-11-8
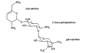
CAS Name: O-3-Deoxy-4-C-methyl-3-(methylamino)-b-L-arabinopyranosyl-(1®6)-O-[2,6-diamino-2,3,4,6-tetradeoxy-a-D-glycero-hex-4-enopyranosyl-(1®4)]-2-deoxy-D-streptamine
Additional Names: (2S-cis)-4-O-[3-amino-6-(aminomethyl)-3,4-dihydro-2H-pyran-2-yl]-2-deoxy-6-O-[3-deoxy-4-C-methyl-3-(methylamino)-b-L-arabinopyranosyl]-D-streptamine; rickamicin; antibiotic 6640
Manufacturers' Codes: Sch-13475
Molecular Formula: C19H37N5O7
Molecular Weight: 447.53
Percent Composition: C 50.99%, H 8.33%, N 15.65%, O 25.03%
Literature References: Gentamicin-like aminoglycoside antibiotic produced by Micromonospora inyoesis (NRRL 3292): M. J. Weinstein et al. DE 1932309; eidem, US 3832286 (1970, 1974 both to Schering); eidem, J. Antibiot. 23, 551 (1970). Isoln: G. H. Wagman et al., ibid. 555. Chemical and physical studies: Cooper et al., Chem. Commun. 1971, 285, 924; Kugelman et al., J. Antibiot. 26, 394 (1973). Structure consists of 2-deoxystreptamine, q.v., linked to two saccharide units, garosamine and sisosamine: Keiman et al., J. Org. Chem. 39, 1451 (1974). Synthesis: D. H. Davies et al., J. Med. Chem. 21, 189 (1978). Synthesis of sisosamine derivs: Cleophax et al., Chem. Commun. 1975, 11. Has broad spectrum antibiotic activity: Waitz et al., J. Antibiot. 23, 559 (1970). Biotransformation of sisomicin to gentamicin: B. K. Lee et al., Antimicrob. Agents Chemother. 12, 335 (1977). Clinical studies: R. Lorber et al., Clin. Ther. 4, 263 (1981); J. P. Sculier et al., J. Antimicrob. Chemother. 9, 63 (1982). Review: P. Noone, Drugs 27, 548-578 (1984).
 
Derivative Type: Monohydrate
Properties: Needles from ethanol, mp 198-201°. [a]D26 +189° (c = 0.3).
Melting point: mp 198-201°
Optical Rotation: [a]D26 +189° (c = 0.3)
 
Derivative Type: Penta-N-acetyl deriv
Molecular Formula: C29H47N5O12
Molecular Weight: 657.71
Percent Composition: C 52.96%, H 7.20%, N 10.65%, O 29.19%
Properties: Amorphous white powder from methanol-ethyl ether, mp 188-198° (dec). [a]D26 +200° (c = 0.3).
Melting point: mp 188-198° (dec)
Optical Rotation: [a]D26 +200° (c = 0.3)
 
Derivative Type: Sulfate
CAS Registry Number: 53179-09-2
Trademarks: Baymicin (Bayer); Extramycin (Bayer); Mensiso (Menarini); Siseptin (Schering); Sisobiotic (Von Boch); Sisolline (Schering-Plough); Sisomin (Max)
Molecular Formula: (C19H37N5O7)2.5H2SO4
Molecular Weight: 1385.45
Percent Composition: C 32.94%, H 6.11%, N 10.11%, O 39.26%, S 11.57%
Properties: LD50 in mice (mg/kg): 34 i.v., 221 i.p., 288 s.c. (Weinstein).
Toxicity data: LD50 in mice (mg/kg): 34 i.v., 221 i.p., 288 s.c. (Weinstein)
 
Therap-Cat: Antibacterial.
Keywords: Antibacterial (Antibiotics); Aminoglycosides.

Other Monographs:
EcabetLead AcetateCupric HexafluorosilicateEpicocconone
Oxalomolybdic AcidPramlintide2-ChloronaphthaleneMoclobemide
Iodinated GlycerolDiisobutyl Sodium SulfosuccinateButylated HydroxytolueneDemanyl Phosphate
AlbutoinPseudojervinePyromellitic AcidAntimony Trifluoride
©2006-2023 DrugFuture->Chemical Index Database