Sampatrilat
Structural Formula Vector Image
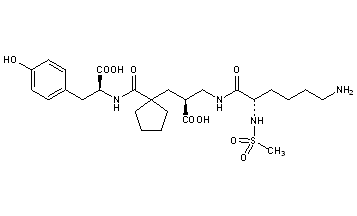
Title: Sampatrilat
CAS Registry Number: 129981-36-8
CAS Name: N2-(Methylsulfonyl)-L-lysyl-1-[(2S)-3-amino-2-carboxypropyl]cyclopentanecarbonyl-L-tyrosine
Manufacturers' Codes: UK-81252
Molecular Formula: C26H40N4O9S
Molecular Weight: 584.68
Percent Composition: C 53.41%, H 6.90%, N 9.58%, O 24.63%, S 5.48%
Literature References: Dual inhibitor of neutral endopeptidase (NEP) and angiotensin converting enzyme (ACE). Prepn: J. C. Danilewicz et al., EP 358398; idem, US 4975444 (both 1990 to Pfizer). Determn in plasma: R. F. Venn et al., J. Pharm. Biomed. Anal. 16, 875 (1998); and urine: eidem, ibid. 883. Clinical evaluations in hypertension: E. J. Wallis et al., Clin. Pharmacol. Ther. 64, 439 (1998); G. R. Norton et al., Am. J. Hypertens. 12, 563 (1999).
Therap-Cat: Antihypertensive.
Keywords: Antihypertensive; Vasopeptidase Inhibitor.

Other Monographs:
PentrinitrolMesoxalic Acid2,3-Diaminopropionic AcidDimethylglyoxime
Ethyl IsothiocyanatePiberalineBisacodylChorismic Acid
TriphenylphosphineTemoporfinErythromycinMetralindole
FlopropioneTrimellitic AcidGranulocyte-Macrophage Colony-Stimulating FactorAzaconazole
©2006-2023 DrugFuture->Chemical Index Database