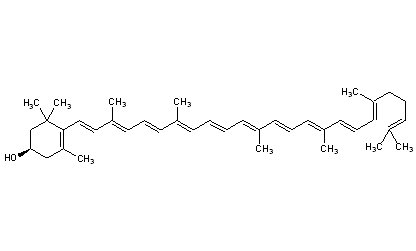
Rubixanthin
Structural Formula Vector Image
Title: Rubixanthin
CAS Registry Number: 3763-55-1
CAS Name: (3R)-b,y-Caroten-3-ol
Molecular Formula: C40H56O
Molecular Weight: 552.87
Percent Composition: C 86.90%, H 10.21%, O 2.89%
Literature References: Carotenoid isomeric with cryptoxanthin. Isolated from hipberries (rose hips, Rosa rubiginosa L., Rosaceae): Kuhn, Grundmann, Ber. 67, 339, 1133 (1934); from the flowers of Tagetes patula L., Compositae. Found also in other Rosa varieties. Structural studies: Brown, Weedon, Chem. Commun. 1968, 382. Abs config: L. Bartlett et al., J. Chem. Soc. C 1969, 2527. Biosynthesis studies: McDermott et al., Biochem. J. 134, 1115 (1973). Has no vitamin A activity.
Properties: Deep red needles with metallic luster from benzene + methanol. Orange crystals from benzene + petr ether, mp 160°. Absorption max (chloroform): 509, 474, 439 nm. Sol in benzene, chloroform; slightly sol in petr ether, alcohol.
Melting point: mp 160°
Absorption maximum: Absorption max (chloroform): 509, 474, 439 nm

Other Monographs:
n-Nonyl AlcoholPropagermaniumMagnesium OleateAniracetam
Sodium TrimetaphosphateEthylparabenSodium Tungstate(VI)Diethofencarb
Uridine 5'-Triphosphatep-HydroxybenzaldehydeCalcium IodobehenateOctyl Methoxycinnamate
ThiarubrinesPalmitic AcidDimethoxaneThallium Chloride
©2006-2023 DrugFuture->Chemical Index Database