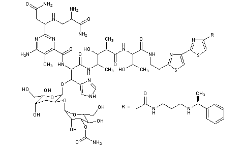
Peplomycin
Structural Formula Vector Image
Title: Peplomycin
CAS Registry Number: 68247-85-8
CAS Name: N1-[3-[[(1S)-1-Phenylethyl]amino]propyl]bleomycinamide
Additional Names: N1-[3-[[(S)-a-methylbenzyl]amino]propyl]bleomycinamide; pepleomycin
Manufacturers' Codes: NK-631
Molecular Formula: C61H88N18O21S2
Molecular Weight: 1473.59
Percent Composition: C 49.72%, H 6.02%, N 17.11%, O 22.80%, S 4.35%
Literature References: Deriv of bleomycin, q.v. with cytostatic activity and less pulmonary toxicity than the natural bleomycin mixture. Prepn of the (R,S)-form: H. Umezawa et al., US 3846400 (1974 to Microbiochem. Res. Found.); of the (S)-form: T. Takita et al., DE 2828933; eidem, US 4195018 (1979, 1980 both to Nippon Kayaku); W. Tanaka et al., Heterocycles 13, 469 (1979). Biological study of degradation products: K. Takahashi et al., J. Antibiot. 32, 36 (1979). General pharmacology: Y. Ishii et al., Jpn. J. Antibiot. 31, 886 (1978), C.A. 91, 215c (1979). Absorption, distribution, excretion, metabolism: H. Takayama et al., ibid. 895, C.A. 91, 32580j (1979). Properties and stability: A. Fuji et al., Iyakuhin Kenkyu 10, 197 (1979), C.A. 91, 9408a (1979). Effect in prostatic cancer: T. Niijima, K. Koiso, Scand. J. Respir. Dis. Suppl. 55, 177 (1980). Relative pulmonary toxicity: B. I. Sikic et al., Cancer Treat. Rep. 64, 659 (1980). Acute toxicity study: K. Ito et al., Jpn. J. Antibiot. 31, 719 (1978), C.A. 91, 68461k (1979). Review of clinical studies: S. Oko, Recent Results Cancer Res. 74, 163 (1980).
 
Derivative Type: Sulfate salt
CAS Registry Number: 70384-29-1
Trademarks: Pepleo Injection (Nippon Kayaku)
Molecular Formula: C61H88N18O21S2.H2SO4
Molecular Weight: 1571.67
Percent Composition: C 46.62%, H 5.77%, N 16.04%, O 25.45%, S 6.12%
Properties: Pale yellow amorphous powder, mp 196-198°. [a]25436 -2.0° (c = 1 in water). pKa 2.9, 4.8, 7.4, 9.0. Sol in water, methanol, acetic acid, DMSO, DMF. Slightly sol in dioxane. Insol in ethyl acetate, acetone, ether, benzene. Stable at 37° for 3 months, 50° for 6 weeks, room temp for 30 months in a sealed container. LD50 in male rats, mice (mg/kg): 234, 88 s.c.; 208, 85 i.p.; 245, 51 i.v. (Ito).
Melting point: mp 196-198°
pKa: pKa 2.9, 4.8, 7.4, 9.0
Optical Rotation: [a]25436 -2.0° (c = 1 in water)
Toxicity data: LD50 in male rats, mice (mg/kg): 234, 88 s.c.; 208, 85 i.p.; 245, 51 i.v. (Ito)
 
Therap-Cat: Antineoplastic.
Keywords: Antineoplastic; Antibiotics and Analogs.

Other Monographs:
MilrinoneCollagenaseα,α,β-Trichloro-n-butyraldehydeBarbasco
Potassium Hexathiocyanatoplatinate(IV)Potassium Cobaltous SelenateDinosterolThallium Selenate
AmoscanateHydrocodoneScillareninMedazepam
TrietazineMethyl SulfideEthyl VanillinAmmonium Uranium Carbonate
©2006-2023 DrugFuture->Chemical Index Database