Pentetate Calcium Trisodium
Structural Formula Vector Image
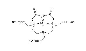
Title: Pentetate Calcium Trisodium
CAS Registry Number: 12111-24-9
CAS Name: [N-[2-[Bis(carboxy-kO)methyl]amino-kN]ethyl]-N-[2-[[(carboxy-kO)methyl](carboxymethyl)amino-kN]ethyl]glycinato(5-)-kN-calciate(3-) trisodium
Additional Names: [N,N-bis[2-[bis(carboxymethyl)amino]ethyl]glycinato(5-)]calciate(3-) trisodium; calcium trisodium pentetate; sodium[[[(carboxymethyl)imino]bis(ethylenenitrilo)]tetraacetato]calciate; [[(carboxymethyl)imino]bis(ethylenenitrilo)]tetraacetic acid calcium complex trisodium salt; trisodium calcium diethylenetriaminepentaacetate; pentacin
Trademarks: Calcium Chel 330 (Geigy); Ditripentat (Heyl); Penthamil (Geigy)
Molecular Formula: C14H18CaN3Na3O10
Molecular Weight: 497.35
Percent Composition: C 33.81%, H 3.65%, Ca 8.06%, N 8.45%, Na 13.87%, O 32.17%
Literature References: Prepn: Rubin, Dexter, US 3062719 (1962 to Geigy). Effects in uranium poisoning in rats: R. Dagirmanjian et al., J. Pharmacol. Exp. Ther. 117, 20 (1956); in mixed fusion products poisoning: K. Kostial et al., J. Appl. Toxicol. 3, 291 (1983).
Properties: Solid. Sol in water. Practically insol in alcohol. Used in aq soln. LD50 i.p. in rats: 3.8 g/kg (Dagirmanjian).
Toxicity data: LD50 i.p. in rats: 3.8 g/kg (Dagirmanjian)
Therap-Cat: Chelating agent (plutonium and other transuranium elements).
Keywords: Chelating Agent.

Other Monographs:
ZanamivirSitamaquineBromcresol PurpleEchinochrome A
ChlorcyclizineFerrous SelenideN4-SulfanilylsulfanilamideSodium Polymetaphosphate
Calcium NitriteEcgonidineCephalonic AcidMetanilic Acid
Vanadium TrisulfateUndecylenic AcidZalcitabinePotassium Tetrabromoaurate(III)
©2006-2023 DrugFuture->Chemical Index Database