Octamylamine
Structural Formula Vector Image
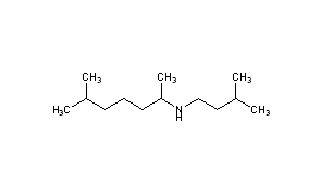
Title: Octamylamine
CAS Registry Number: 502-59-0
CAS Name: 6-Methyl-N-(3-methylbutyl)-2-heptanamine
Additional Names: N-isopentyl-1,5-dimethylhexylamine; N-isoamyl-1,5-dimethylhexylamine; 2-methyl-6-(3-methylbutylamino)heptane; 2-isoamylamino-6-methylheptane; N-(1,5-dimethylhexyl)isopentylamine
Trademarks: Octinum D (Knoll)
Molecular Formula: C13H29N
Molecular Weight: 199.38
Percent Composition: C 78.31%, H 14.66%, N 7.03%
Literature References: Prepd by the condensation of 2-methyl-6-heptanone with isoamylamine: CH 258452 (1942 to Knoll).
Properties: Oily liquid. Weak aromatic odor. bp7 100-101°. Strong base.
Boiling point: bp7 100-101°
 
Derivative Type: Hydrochloride
Molecular Formula: C13H29N.HCl
Molecular Weight: 235.84
Percent Composition: C 66.21%, H 12.82%, N 5.94%, Cl 15.03%
Properties: Waxy leaflets, mp 121°. Sol in water, alcohol, ether.
Melting point: mp 121°
 
Therap-Cat: Antispasmodic.
 
 
Status: This monograph has been retired and is no longer subject to revision or update.

Other Monographs:
Michler's BaseMeteloidineDextranomerVicianin
Allyl CyanideCastor Oil, HydrogenatedNiobium PentoxideMepenzolate Bromide
1-Methoxy-3-(trimethylsilyloxy)-1,3-butadieneFlocoumafenAluminum IsopropoxideSermorelin
Light Green SF YellowishOxadiazonReserpineLead Hydroxide
©2006-2023 DrugFuture->Chemical Index Database