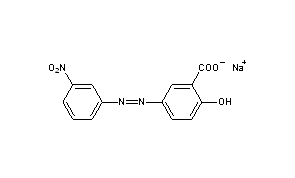
Metachrome Yellow
Structural Formula Vector Image
Title: Metachrome Yellow
CAS Registry Number: 584-42-9
CAS Name: 2-Hydroxy-5-[(3-nitrophenyl)azo]benzoic acid monosodium salt
Additional Names: C.I. Mordant Yellow 1; C.I. 14025; alizarine yellow GG; salicyl yellow; sodium m-nitrobenzeneazosalicylate
Molecular Formula: C13H8N3NaO5
Molecular Weight: 309.21
Percent Composition: C 50.50%, H 2.61%, N 13.59%, Na 7.44%, O 25.87%
Literature References: Prepd from diazotized m-nitroaniline and salicylic acid in alkaline medium: R. Nietzki, US 424019; Colour Index vol. 4 (3rd ed., 1971) p 4058.
Properties: Yellow powder. Slightly sol in cold water; more sol in hot water.
Use: Biological stain and acid-base indicator. pH: 10.2 colorless, 12.0 yellow.

Other Monographs:
Indium ArsenideDichloneNiobium Potassium OxypentafluorideTrimethaphan Camsylate
s-TriazineHolmiumCysteamine1-Dodecanol
Homovanillic AcidSilver PicrateSodium Tripolyphosphatep-Bromobenzyl Chloroformate
AmsacrineNitrogen ChlorideNormorphineBone Morphogenetic Proteins
©2006-2023 DrugFuture->Chemical Index Database