Mercaptomerin Sodium
Structural Formula Vector Image
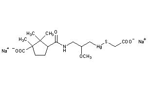
Title: Mercaptomerin Sodium
CAS Registry Number: 21259-76-7
CAS Name: (T-4)-[3-[[(3-Carboxylato-2,2,3-trimethylcyclopentyl)carbonyl]amino]-2-methoxypropyl][mercaptoacetato(2-)-O,S]mercurate(2-) disodium
Additional Names: N-(g-carboxymethylmercaptomercuri-b-methoxy)propylcamphoramic acid disodium salt
Trademarks: Diucardyn sodium (Ayerst); Thiomerin sodium (Wyeth)
Molecular Formula: C16H25HgNNa2O6S
Molecular Weight: 606.01
Percent Composition: C 31.71%, H 4.16%, Hg 33.10%, N 2.31%, Na 7.59%, O 15.84%, S 5.29%
Literature References: Prepn: Lehman, US 2576349 (1951 to Wyeth); Wendt, Bruce, J. Org. Chem. 23, 1448 (1958); Wendt, US 2834795 (1958 to Am. Home Prod.).
Properties: Hygroscopic white powder. Dec 150-155°. Freely soluble in water. Soluble in alcohol. Practically insoluble in ether, benzene, chloroform.
Therap-Cat: Diuretic.
Therap-Cat-Vet: Diuretic.
Keywords: Diuretic; Organomercurials.

Other Monographs:
Sodium PhosphomolybdateFerrous PhosphateFerrous BromideCyclosporins
Coumalic AcidSodium BicarbonatePenicillin G BenzhydrylamineGliclazide
Nitroso-R SaltGadofosvesetPolylysineMevalonic Acid
DanaparoidAmmonium Phosphate, DibasicDiethylbromoacetamidePotassium Carbonate
©2006-2023 DrugFuture->Chemical Index Database