Laudanine
Structural Formula Vector Image
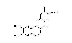
Title: Laudanine
CAS Registry Number: 85-64-3
CAS Name: 2-Methoxy-5-[(1,2,3,4-tetrahydro-6,7-dimethoxy-2-methyl-1-isoquinolinyl)methyl]phenol
Additional Names: dl-laudanidine
Molecular Formula: C20H25NO4
Molecular Weight: 343.42
Percent Composition: C 69.95%, H 7.34%, N 4.08%, O 18.64%
Literature References: In the alkaline mother liquors from morphine extraction, in amounts corresp to about 0.005% of the opium employed: L. F. Small, R. E. Lutz, Chemistry of the Opium Alkaloids, Supplement No. 103, Public Health Reports, Washington (1932) p 34. Structure: Späth, Monatsh. Chem. 41, 297 (1920). Synthesis: Späth, Lang, ibid. 42, 273 (1921); Frydman et al., Tetrahedron 4, 342 (1958).
Properties: Orthorhombic prisms from alcohol or chloroform, mp 167°. d420 1.26. uv max: 284 nm (log e 3.78). Sol in benzene, chloroform, hot alcohol; sparingly sol in ether. Practically insol in water.
Melting point: mp 167°
Absorption maximum: uv max: 284 nm (log e 3.78)
Density: d420 1.26

Other Monographs:
11-DehydrocorticosteroneAmmonium Titanium OxalateTinidazoleDiacetazotol
SulfonmethanePotassium Thioantimonate(V)Bismuth3'-Cytidylic Acid
Cobaltous SulfideApazone1-NaphthylisocyanateAmisulpride
Merimepodib5-Methylpyrazole-3-carboxylic AcidEthoheptazineSulfoxone Sodium
©2006-2023 DrugFuture->Chemical Index Database