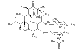
Lankamycin
Structural Formula Vector Image
Title: Lankamycin
CAS Registry Number: 30042-37-6
Additional Names: Kujimycin B
Molecular Formula: C42H72O16
Molecular Weight: 833.01
Percent Composition: C 60.56%, H 8.71%, O 30.73%
Literature References: Macrolide antibiotic produced by Streptomyces violaceoniger from soil of Ceylon. Isolation: Gaumann et al., Helv. Chim. Acta 43, 601 (1960). Yields on hydrolysis an aglucone, monoacetyllankolid, C26H48O10, and two sugar-like substances, lankavose (D-chalcose, q.v.) and acetylarcanose: Keller-Schierlein, Roncari, ibid. 45, 138 (1962). Structure: eidem, ibid. 47, 78 (1964); Egan, Martin, J. Am. Chem. Soc. 92, 4129 (1970). Stereochemistry: Muntwyler, Keller-Schierlein, Helv. Chim. Acta 55, 460 (1972). Identity with kujimycin B: Omura et al., J. Antibiot. 22, 629 (1969).
Properties: Crystals from ether + petr ether. Double mp, 147-150° and 181-182°. [a]D20 -94° (c = 1.23 in alc.). uv max: 289 nm (log e 1.50).
Melting point: Double mp, 147-150° and 181-182°
Optical Rotation: [a]D20 -94° (c = 1.23 in alc.)
Absorption maximum: uv max: 289 nm (log e 1.50)

Other Monographs:
Triflusulfuron-methylMagnesium Phosphate, DibasicAcid FuchsinDienogest
α-SpinasterolProxyphyllineNeohesperidin DihydrochalconeTrifluoperazine
Thallium TrifluorideAzacyclonolCarbonyl FluorideStrontium Titanate
DeferasiroxLithium AmideGlucaminePilocereine
©2006-2023 DrugFuture->Chemical Index Database