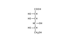
L-Gulonic Acid
Structural Formula Vector Image
Title: L-Gulonic Acid
CAS Registry Number: 526-97-6
Additional Names: Xylosecarboxylic acid
Molecular Formula: C6H12O7
Molecular Weight: 196.16
Percent Composition: C 36.74%, H 6.17%, O 57.09%
Literature References: Prepd from L-xylose and HCN followed by hydrolysis of the nitrile: Fischer, Stahel, Ber. 24, 529 (1891). Prepn from D-glucuronic acid: DE 618907 (1935 to Hoffmann-La Roche); from L-gulonolactone: Ishidate et al., Chem. Pharm. Bull. 13, 173 (1965).
Properties: Crystallizes as the lactone on evapn of an aq soln.
 
Derivative Type: Sodium salt
Properties: [a]D20 +12.7° (c = 9). Freely sol in water.
Optical Rotation: [a]D20 +12.7° (c = 9)

Other Monographs:
Beryllium AcetylacetonateEtofenamateHypophosphorous AcidAmetryn
Darunavir1-Methoxy-3-(trimethylsilyloxy)-1,3-butadieneTiomesteroneTricine
n-HexaneBenzoyl Chlorideo-ChlorobenzylidenemalononitrileAluminum Alkyls
Mandelic Acid Isoamyl EsterLinolenic AcidSodium Hexachloroplatinate(IV)Piperonyl Butoxide
©2006-2023 DrugFuture->Chemical Index Database