Imazamethabenz
Structural Formula Vector Image
Title: Imazamethabenz
CAS Registry Number: 81405-85-8
CAS Name: 2-[4,5-Dihydro-4-methyl-4-(1-methylethyl)-5-oxo-1H-imidazol-2-yl]-4(and 5)-methylbenzoic acid methyl ester
Additional Names: imazamethabenz methyl; imazethabenz
Manufacturers' Codes: AC-222293; AC-293; CL-222293
Trademarks: Assert (BASF); Dagger (BASF)
Molecular Formula: C16H20N2O3
Molecular Weight: 288.34
Percent Composition: C 66.65%, H 6.99%, N 9.72%, O 16.65%
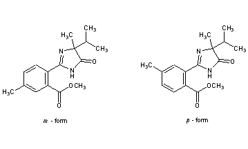
Literature References: Selective, post-emergence imidazolinone herbicide; mixture of methyl 2-(4-isopropyl-4-methyl-5-oxo-2-imidazolin-2-yl)-p-toluate and methyl 6-(4-isopropyl-4-methyl-5-oxo-2-imidazolin-2-yl)-m-toluate (approx 3:2). Prepn of isomeric mixture: M. Los, US 4188487 (1980 to American Cyanamid). Activity, physical properties and toxicity: D. L. Shaner et al., Proc. Br. Crop Prot. Conf. - Weeds 1982, 25; K. Hedlund, L. Andersson, Weeds Weed Control 28, 1 (1987). Activity of component isomers: D. L. Shaner et al., Proc. Br. Crop Prot. Conf. - Weeds 1982, 333. Mechanism of action: J. B. Pillmoor, J. C. Caseley, Pestic. Biochem. Physiol. 27, 340 (1987). Persistence and mobility in soil: R. Allen, J. C. Caseley, Proc. Br. Crop Prot. Conf. - Weeds 1987, 569. Field studies: K. Kirkland, N. E. Shafer, ibid. 1982, 33; A. A. Hudson, S. C. E. Townsend, ibid. 1985, 923; in food crops: S. D. Miller, H. P. Alley, Weed Technol. 1, 29 (1987).
Properties: Off-white fine powder with a tendency to form easily friable aggregates; slight musty odor. Softening begins at 108-117°, melting starts at 113-122° and is completed at 144-153°. Soly (g/100 ml) at 25°: acetone 18.2, DMSO 23.8, distilled water 0.13 (p-isomer), 0.22 (m-isomer), n-heptane 0.04, isopropyl alcohol 14.4, methanol 24.4, methylene chloride 30.0, toluene 3.9. Soly (g/100 g) at 25°: xylene <5, DMF 30. Partition coefficient (n-octanol/water): 35 (p-isomer), 66 (m-isomer). LD50 in rats, rabbits (mg/kg): >5000, 4500 orally, >2000, >2000 dermally (Hedlund, Anderson).
Melting point: 108-117°, melting starts at 113-122° and is completed at 144-153°
Log P: Partition coefficient (n-octanol/water): 35 (p-isomer), 66 (m-isomer)
Toxicity data: LD50 in rats, rabbits (mg/kg): >5000, 4500 orally, >2000, >2000 dermally (Hedlund, Anderson)
Use: Herbicide.

Other Monographs:
TubercidinDDD (Analytical)[S-(all-E)]-3-(1,3,5,7,9-Dodecapentaenyloxy)-1,2-propanediolHomochlorcyclizine
Barium SelenideHypericinBrain Natriuretic PeptideMiconazole
OleuropeinIsoproterenolTamibaroteneBetasine
GlucovanillinTerpineneFamciclovirWild Cherry
©2006-2023 DrugFuture->Chemical Index Database