Hyperforin
Structural Formula Vector Image
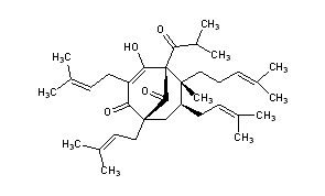
Title: Hyperforin
CAS Registry Number: 11079-53-1
CAS Name: (1R,5S,6R,7S)-4-Hydroxy-6-methyl-1,3,7-tris(3-methyl-2-butenyl)-5-(2-methyl-1-oxopropyl)-6-(4-methyl-3-pentenyl)bicyclo[3.3.1]non-3-ene-2,9-dione
Molecular Formula: C35H52O4
Molecular Weight: 536.78
Percent Composition: C 78.31%, H 9.76%, O 11.92%
Literature References: Principal acylphloroglucinol component in St. John's wort with concentrations of 2-4% in the fresh herb. Inhibits synaptosomal uptake of serotonin, norephinephrine and dopamine; thought to be responsible for the antidepressant activity of medicinal preparations of hypericum, q.v. Isoln and antibacterial activity: A. I. Gurevich et al., Antibiotiki 16, 510 (1971), C.A. 75, 95625 (1971). Improved isoln procedure: C. A. J. Erdelmeier, Pharmacopsychiatry 31, Suppl 1, 2 (1998). Structure: N. S. Bystrov et al., Tetrahedron Lett. 1975, 2791. Abs config: I. Brondz et al., Acta Chem. Scand. A37, 263 (1983). HPLC determn in plasma: J. D. Chi, M. Franklin, J. Chromatogr. B 735, 285 (1999). Series of articles on psychopharmacology and neurotransmitter reuptake inhibition: Pharmacopsychiatry 31, Suppl 1, 7-29 (1998).
Properties: mp 79-80°. [a]D18 +41° (in ethanol). pKa 4.8 (50% aq ethanol). uv max (methanol): 275.5 nm (log e 3.95). Unstable when exposed to air and light.
Melting point: mp 79-80°
pKa: pKa 4.8 (50% aq ethanol)
Optical Rotation: [a]D18 +41° (in ethanol)
Absorption maximum: uv max (methanol): 275.5 nm (log e 3.95)

Other Monographs:
Gallium OxideSamaderinsQuinamineChloral Hydrate
Sodium β-Naphthoquinone-4-sulfonateDigoxinRutecarpineHeptanal
ScabiolidePyruvate DecarboxylaseEmylcamate2-(2-Naphthyloxy)ethanol
Phenyliodine(III) Bis(trifluoroacetate)Platinic ChlorideAmmonium Uranate(VI)Metronidazole
©2006-2023 DrugFuture->Chemical Index Database