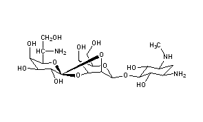
Hygromycin B
Structural Formula Vector Image
Title: Hygromycin B
CAS Registry Number: 31282-04-9
CAS Name: O-6-Amino-6-deoxy-L-glycero-D-galacto-heptopyranosylidene-(1®2-3)-O-b-D-talopyranosyl-(1®5)-2-deoxy-N3-methyl-D-streptamine
Trademarks: Hygromix (Elanco)
Molecular Formula: C20H37N3O13
Molecular Weight: 527.52
Percent Composition: C 45.54%, H 7.07%, N 7.97%, O 39.43%
Literature References: Antibiotic substance produced by Streptomyces hygroscopicus (Jensen) Waksman & Henrici, from soil samples from Nebraska and Indiana: Mann, Bromer, J. Am. Chem. Soc. 80, 2714 (1958). Prodn: McGuire, Mann, US 3018220 (1962 to Lilly). Structure: Neuss et al., Helv. Chim. Acta 53, 2314 (1970). Studies on mode of action: A. Gonzalez et al., Biochim. Biophys. Acta 521, 459 (1978).
Properties: Amorphous powder, dec 160-180°. Weakly basic. pKa 7.1, 8.8. [a]D20 +20.2° (c = 1 in water). Freely sol in water, methanol and ethanol. Practically insol in less polar solvents. Absorption spectrum: Mann, Bromer, loc. cit.
pKa: pKa 7.1, 8.8
Optical Rotation: [a]D20 +20.2° (c = 1 in water)
Therap-Cat-Vet: Anthelmintic (swine and chicken).

Other Monographs:
Methamidophosp-Methylaminophenol SulfatePotassium Tetrachloroplatinate(II)Carnauba Wax
NicergolineVildagliptinPromazineOil of Balm
TiagabineL-Amino Acid Oxidase2-Phenyl-6-chlorophenolCannabis
TiamenidineMagnesium MonoperoxyphthalateAluminum HydrideQuassin
©2006-2023 DrugFuture->Chemical Index Database