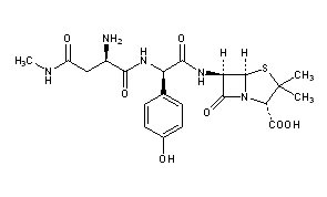
Aspoxicillin
Structural Formula Vector Image
Title: Aspoxicillin
CAS Registry Number: 63358-49-6
CAS Name: (2R)-N-Methyl-D-asparaginyl-N-[(2S,5R,6R)-2-carboxy-3,3-dimethyl-7-oxo-4-thia-1-azabicyclo[3.2.0]hept-6-yl]-D-2-(4-hydroxyphenyl)glycinamide
Additional Names: 6-[D-2-(D-2-amino-3-N-methylcarbamoylpropionamido)-2-p-hydroxyphenylacetamido]penicillanic acid; (2S,5R,6R)-6-[(2R)-2-[(2R)-2-amino-3-(methylcarbamoyl)propionamido]-2-(p-hydroxyphenyl)acetamido]-3,3-dimethyl-7-oxo-4-thia-1-azabicyclo[3.2.0]heptane-2-carboxylic acid; N4-methyl-D-asparaginylamoxicillin; ASPC
Manufacturers' Codes: TA-058
Trademarks: Doyle (Tanabe Seiyaku)
Molecular Formula: C21H27N5O7S
Molecular Weight: 493.53
Percent Composition: C 51.11%, H 5.51%, N 14.19%, O 22.69%, S 6.50%
Literature References: Semisynthetic penicillin. Prepn: M. Kawazu et al., DE 2638067; eidem, US 4053609 (both 1977 to Tanabe); prepn and antibacterial activity: M. Wagatsuma et al., J. Antibiot. 36, 147 (1985). Mechanism of action study: T. Nishino et al., Chemotherapy (Tokyo) 33, 132 (1985), C.A. 103, 34792v (1985). Toxicological study: M. Takeshita et al., Oyo Yakuri 30, 687 (1985), C.A. 104, 101990u (1986). HPLC determn in serum: J. Knöller et al., Zentralbl. Bakteriol. Mikrobiol. Hyg. 265, 176 (1987). Clinical evaluation in ocular infections: M. Ooishi et al., Acta Med. Biol. 34, 1 (1986). Series of articles on antibacterial activity, pharmacology and clinical efficacy: Chemotherapy (Tokyo) 32, Suppl. 2, 1-791 (1984).
Properties: Colorless crystalline powder, mp 195-198° (dec).
Melting point: mp 195-198° (dec)
Therap-Cat: Antibacterial.
Keywords: Antibacterial (Antibiotics); ?Lactams; Penicillins.

Other Monographs:
MiloxacinVidarabinePotassium Thiocyanateδ -Aminolevulinic Acid
BufotalinDigitaloseSporidesminsDTBP
NifuraldezonePotassium Tetracyanoplatinate(II)AcebutololAminoacetonitrile
Ibotenic AcidAcetosulfone SodiumTribromo-tert-butyl AlcoholMyristic Acid
©2006-2023 DrugFuture->Chemical Index Database