Hydrocortamate
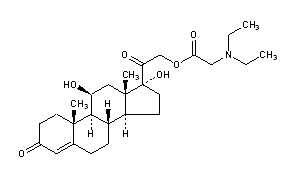
Structural Formula Vector Image
Title: Hydrocortamate
CAS Registry Number: 76-47-1
CAS Name: N,N-Diethylglycine (11b)-11,17-dihydroxy-3,20-dioxopregn-4-en-21-yl ester
Additional Names: cortisol 21-ester with N,N-diethylglycine; cortisol 21-(N,N-diethyl)glycinate; hydrocortisone 21-diethylaminoacetate
Trademarks: Ulcort
Molecular Formula: C27H41NO6
Molecular Weight: 475.62
Percent Composition: C 68.18%, H 8.69%, N 2.94%, O 20.18%
Literature References: Prepn: Pinson, Laubach, DE 1016708 (1957 to Pfizer), C.A. 54, 22737a (1960); Richter, Schenck, DE 1037451 (1958 to Schering AG), C.A. 54, 22730h (1960).
Properties: Crystals from ethyl acetate, mp 162-163°.
Melting point: mp 162-163°
 
Derivative Type: Hydrochloride
CAS Registry Number: 125-03-1
Additional Names: Ethamicort
Trademarks: Magnacort (Pfizer)
Molecular Formula: C27H41NO6.HCl
Molecular Weight: 512.08
Percent Composition: C 63.33%, H 8.27%, N 2.74%, O 18.75%, Cl 6.92%
Properties: Crystals from ethyl acetate, dec 222°.
 
Therap-Cat: Glucocorticoid.
Keywords: Glucocorticoid.

Other Monographs:
Fluorine Nitrate3-Pyridineacetic AcidUrea StibamineChlorprothixene
EthylnorepinephrineCefpiramideSulisobenzoneOxiconazole Nitrate
Glycerophosphoric AcidThiamine Disulfideβ-Amino-α-methylphenethyl AlcoholIprovalicarb
BenzonitrileADACamphoric AcidTralkoxydim
©2006-2023 DrugFuture->Chemical Index Database