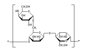
Guaran
Structural Formula Vector Image
Title: Guaran
CAS Registry Number: 9000-30-0
Literature References: Principal polysaccharide from endosperm of guar seeds, Cyamopsis tetragonaloba (L.) Taub., Leguminosae: Heyne, Whistler, J. Am. Chem. Soc. 70, 2249 (1948). Structure: Whistler, Durso, ibid. 74, 5140 (1952). Configuration: Koleske, Kurath, J. Polym. Sci. A 2, 4123 (1964). Review: Deuel et al., Chimia 8, 64 (1954).
Properties: [a]D25 +53° (1N NaOH). Sol in cold water.
Optical Rotation: [a]D25 +53° (1N NaOH)
 
Derivative Type: Triacetate
Properties: Fibrous material, mp 226-227°. Can be formed into strong films which can be elongated 550%. Becomes birefringent and does not develop crystallinity.
Melting point: mp 226-227°
 
Use: In textile and paper industry.

Other Monographs:
ProdipineGranulocyte Colony-Stimulating FactorMethyl AminolevulinateMosapride
Calcium SulfiteZinc BromideAtrial Natriuretic PeptideAmtolmetin Guacil
Sucrose PolyesterBentazonAtorvastatinParethoxycaine
10,10'-OxydiphenoxarsineGliotoxinHexanitrohexaazaisowurtzitaneCycloleucine
©2006-2023 DrugFuture->Chemical Index Database