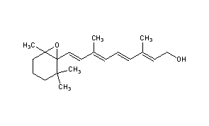
Hepaxanthin
Structural Formula Vector Image
Title: Hepaxanthin
CAS Registry Number: 512-39-0
CAS Name: 5,6-Epoxy-5,6-dihydroretinol
Additional Names: 5,6-monoepoxyvitamin A; vitamin A epoxide; 574-chromogen
Molecular Formula: C20H30O2
Molecular Weight: 302.45
Percent Composition: C 79.42%, H 10.00%, O 10.58%
Literature References: Isoln from cod liver oil and formation from vitamin A: Karrer, Jucker, Helv. Chim. Acta 28, 717 (1945); 30, 559 (1947). Prepn and properties: Jungalwala, Cama, Biochem. J. 95, 17 (1965). See also Lakshmanan et al., ibid. 27; Tsukida et al., J. Vitaminol. 14, 95 (1968).
Properties: Viscous yellow oil. uv max (ethanol): 272 nm. Freely sol in chloroform, ether, benzene. Moderately sol in alcohol. Slightly sol in petr ether.
Absorption maximum: uv max (ethanol): 272 nm
 
 
Status: This monograph has been retired and is no longer subject to revision or update.

Other Monographs:
tert-Butyl AlcoholCinnamic AcidBerkeliumOil Anise, Japanese
MethoxyfluraneIsodureneBecanthoneMethyl p-Nitrobenzenesulfonate
TropaneMercufenol ChlorideHymecromone O,O-Diethyl PhosphorothioateMethyl Dihydrojasmonate
ParaflutizidePrednylidenep-FluoroanilineMibefradil
©2006-2023 DrugFuture->Chemical Index Database