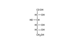
Gluconic Acid
Structural Formula Vector Image
Title: Gluconic Acid
CAS Registry Number: 526-95-4
CAS Name: D-Gluconic acid
Additional Names: dextronic acid; maltonic acid; glyconic acid; glycogenic acid; pentahydroxycaproic acid
Molecular Formula: C6H12O7
Molecular Weight: 196.16
Percent Composition: C 36.74%, H 6.17%, O 57.09%
Literature References: Prepd by oxidation of glucose: H. Hlasiwetz, J. Habermann, Ann. 155, 120 (1870); J. Habermann, ibid. 162, 297 (1872). Fermentative prepn using Aspergillus niger: K. Bernhauer, L. Schulof, US 1849053 (1932 to Pfizer); A. J. Moyer et al., Ind. Eng. Chem. 32, 1379 (1940). Review of prepns and uses: F. J. Prescott et al., ibid. 45, 338 (1953); M. Roehr et al. in Biotechnology, Vol. 6, H. Rehm, G. Reed, Eds. (VCH, Weinheim, 2nd ed, 1996) pp 347-362. See also Gluconolactone.
Properties: Crystals, mp 131°. Mild acid taste. [a]D20 -6.7° (c = 1). pK (25°) 3.60. Freely sol in water, slightly sol in alcohol. Insol in ether and most other organic solvents. In aq solns the acid is partially transformed into an equilibrium mixt with gamma and delta gluconolactones.
Melting point: mp 131°
pKa: pK (25°) 3.60
Optical Rotation: [a]D20 -6.7° (c = 1)
 
Derivative Type: Magnesium salt
CAS Registry Number: 3632-91-5
Additional Names: Magnesium gluconate
Trademarks: Almora (Forest); Ultra-Mg (Melisana)
Molecular Formula: C12H22MgO14
Molecular Weight: 414.60
Percent Composition: C 34.76%, H 5.35%, Mg 5.86%, O 54.03%
Literature References: Clinical pharmacokinetics and use as magnesium supplement: J. White et al., Clin. Ther. 14, 678 (1992).
Properties: Also occurs as the dihydrate. Sol in water, slightly sol in alcohol. Insol in ether.
 
Derivative Type: Potassium salt
CAS Registry Number: 299-27-4
Additional Names: Potassium gluconate
Trademarks: Gluconsan K (Kayaku); Kalimozan (Nikken); Kaon (Altana); Potasoral (Bago); Potassuril (Klosterfrau); Tumil-K (Virbac)
Molecular Formula: C6H11KO7
Molecular Weight: 234.25
Percent Composition: C 30.76%, H 4.73%, K 16.69%, O 47.81%
Properties: Yellowish-white crystals. Stable in air. Mild, slightly saline taste. Dec 180°. Freely sol in water. Practically insol in abs alcohol, ether, benzene, chloroform. Aq solns are alkaline to litmus and have a pH of 7.5-8.5.
 
Derivative Type: Sodium salt
CAS Registry Number: 527-07-1
Additional Names: Sodium gluconate
Molecular Formula: C6H11NaO7
Molecular Weight: 218.14
Percent Composition: C 33.04%, H 5.08%, Na 10.54%, O 51.34%
Properties: Crystals. The technical grade may have a pleasant odor. Soly in water at 25°: 59 g/100 ml. Sparingly sol in alcohol. Insol in ether. Aq solns are stable to short boiling periods.
 
Derivative Type: Zinc complex
CAS Registry Number: 4468-02-4
CAS Name: (T-4)-Bis-(D-gluconato-kO1,kO2)zinc
Additional Names: zinc gluconate
Trademarks: Rubozinc (Labcatal)
Molecular Formula: C12H22O14Zn
Molecular Weight: 455.70
Percent Composition: C 31.63%, H 4.87%, O 49.15%, Zn 14.35%
Literature References: Review of clinical use in treatment of colds: M. L. Garland, K. O. Hagmeyer, Ann. Pharmacother. 32, 63-69 (1998). Clinical trial in inflammatory acne: J. Meynadier, Eur. J. Dermatol. 10, 269 (2000).
 
Use: Chelating agent. In high alkalinity bottle washes and other cleansers; in finish removers; in the tanning and textile industry.
Therap-Cat: Magnesium salt as magnesium replenisher; potassium salt as potassium supplement; zinc complex as zinc supplement.
Therap-Cat-Vet: Potassium salt as potassium supplement.

Other Monographs:
Methohexital Sodium6-n-Amyl-m-cresol1-NaphthylisocyanateChloroaniline
Nonyl PhenolCellophanePhthalylsulfathiazoleCyanuric Chloride
2,2,3,3-Tetrafluoro-1-propanolPipebuzoneActiphenolPotassium Glycerophosphate
Didecyldimethylammonium ChlorideAluminum PhosphateVomicineMoxifloxacin
©2006-2023 DrugFuture->Chemical Index Database