Galactitol
Structural Formula Vector Image
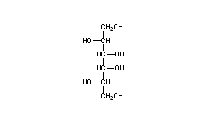
Title: Galactitol
CAS Registry Number: 608-66-2
Additional Names: Dulcitol; dulcite; dulcose; euonymit; melampyrite; melampyrum; melampyrin
Molecular Formula: C6H14O6
Molecular Weight: 182.17
Percent Composition: C 39.56%, H 7.75%, O 52.70%
Literature References: Found in dulcite or Madagascar manna (Melampyrum nemorosum L.) and in other species of Melampyrum, Scrophulariaceae, and Evonymus atropurpureus Jacq., Celastraceae. Isoln: Hünefeld, Ann. 24, 241 (1837); Bouchardat, Ann. Chim. Phys. 27, 68 (1872); Fischer, Hertz, Ber. 25, 1261 (1892); Rogerson, J. Chem. Soc. 101, 1040 (1912). Prepn by catalytic isomerization of D-glucitol: Wright, Hartmann, J. Org. Chem. 26, 1588 (1961). Synthesis: Lespieau, Bull. Soc. Chim. Fr. [5] 1, 1374 (1934); Delepine, Horeau, ibid. 4, 1524 (1937); Wiemann, Gordon, ibid. 1958, 433. Structure: R. L. Lohmar "The Polyols" in W. Pigman, The Carbohydrates (Academic Press, New York, 1957) p 247.
Properties: Crystals from methanol + water, mp 188-189°. Slightly sweet taste. d20 1.47. bp1 275-280°. One gram dissolves in 30 ml water, in 2 ml boiling water. Slightly sol in alc. Ka at 18° = 3.5´10-14.
Melting point: mp 188-189°
Boiling point: bp1 275-280°
Density: d20 1.47
 
Derivative Type: Hexa-O-acetylgalactitol
Molecular Formula: C18H26O12
Molecular Weight: 434.39
Percent Composition: C 49.77%, H 6.03%, O 44.20%
Properties: Crystals from ethanol, mp 168-169°.
Melting point: mp 168-169°
 
Derivative Type: Hexanitrate
Additional Names: Nitrodulcitol
Properties: mp 94-95°. Has explosive properties: Taylor, Rinkenbach, J. Franklin Inst. 204, 374 (1927).
Melting point: mp 94-95°

Other Monographs:
TipranavirTramadolIdraparinux SodiumCreslan®
TolbutamideDoxefazepamDirithromycinActinium
PentazocineAmmonium Dichromate(VI)1,2-Ethanedisulfonic AcidChromic Potassium Oxalate
2,6-Diamino-2'-butyloxy-3,5'-azopyridineAcetylsalicylsalicylic AcidTeaIodine Monochloride
©2006-2023 DrugFuture->Chemical Index Database