Gadodiamide
Structural Formula Vector Image
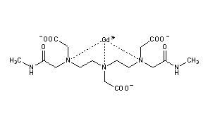
Title: Gadodiamide
CAS Registry Number: 131410-48-5
CAS Name: [5,8-Bis(carboxymethyl)-11-[2-(methylamino)-2-oxoethyl]-3-oxo-2,5,8,11-tetraazatridecan-13-oato(3-)]gadolinium
Additional Names: gadolinium diethylenetriamine pentaacetic acid bismethylamide; Gd-DTPA-BMA
Manufacturers' Codes: S-041
Molecular Formula: C16H26GdN5O8
Molecular Weight: 573.66
Percent Composition: C 33.50%, H 4.57%, Gd 27.41%, N 12.21%, O 22.31%
Literature References: Nonionic, low-osmolar paramagnetic gadolinium chelate complex. Prepn: S. C. Quay, WO 8602841 (1986 to New Salutar); idem, US 4687659 (1987 to Salutar). Pharmacokinetics, hemodynamics and toxicology: E. S. Harpur et al., Invest. Radiol. 28, Suppl. 1, S28 (1993). Clinical pharmacokinetics: M. VanWagoner, D. Worah, ibid. S44. Clinical study of CNS imaging: G. Sze et al., ibid. 28, Suppl. 1, S49 (1993); J. Valk et al., Neuroradiology 35, 173 (1993); of myocardial imaging: M.-C. Dulce et al., Am. J. Roentgenol. 160, 963 (1993). Review of physicochemical properties: C. A. Chang, Invest. Radiol. 28, Suppl. 1, S21-S27 (1993).
Properties: Osmolality (37°, 0.1M): 111 mmol/kg water. LD50 i.v. in mice: 14 mmol/kg (Chang).
Toxicity data: LD50 i.v. in mice: 14 mmol/kg (Chang)
 
Derivative Type: Gadodiamide injection
CAS Registry Number: 131410-51-0
Trademarks: Omniscan (GE Healthcare)
Molecular Formula: C16H28GdN5O9.C16H26CaN5NaO8
Molecular Weight: 1071.15
Percent Composition: C 35.88%, H 5.08%, Gd 14.68%, N 13.08%, O 25.39%, Ca 3.74%, Na 2.15%
Properties: Osmolality (37°, 0.5M): 789 mOsM/kg water. Viscosity (cP): 2.0 (20°), 1.4 (37°). d20 1.13. Log P (butanol/water): -2.1. LD50 i.v. in mice: 34 mmol/kg (Harpur).
Log P: Log P (butanol/water): -2.1
Density: d20 1.13
Toxicity data: LD50 i.v. in mice: 34 mmol/kg (Harpur)
 
Therap-Cat: Diagnostic aid (MRI contrast agent).
Keywords: Diagnostic Aid (MRI Contrast Agent).

Other Monographs:
Piprozolin17-Hydroxy-16-methylene-Δ6-progesteroneGitoxigeninZinc Permanganate
DichlormidMetomidateThiazolePangamic Acid
4-Amino-4'-chlorodiphenylOxaprozinBenzoic Acidp-Acetanisidine
Tenecteplase5-Methyl-3-heptanoneMycobactinsPotassium Tetraiodoaurate(III)
©2006-2023 DrugFuture->Chemical Index Database