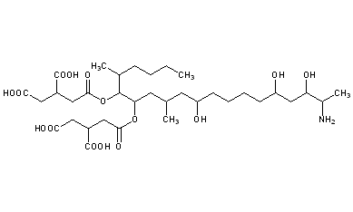
Fumonisin B1
Structural Formula Vector Image
Title: Fumonisin B1
CAS Registry Number: 116355-83-0
CAS Name: 1,2,3-propanetricarboxylic acid 1,1ยข-[1-(12-amino-4,9,11-trihydroxy-2-methyltridecyl)-2-(1-methylpentyl)-1,2-ethanediyl] ester
Additional Names: macrofusine; FB1
Molecular Formula: C34H59NO15
Molecular Weight: 721.83
Percent Composition: C 56.57%, H 8.24%, N 1.94%, O 33.25%
Literature References: Most prevalent of a family of mycotoxins produced by Fusarium moniliforme, a common mold associated with corn; also isolated from other Fusarium species. Isolation: W. C. A. Gelderblom et al., Appl. Environ. Microbiol. 54, 1806 (1988). Structure elucidation of family: S. C. Bezuidenhout et al., Chem. Commun. 1988, 743. Causative agent of pulmonary edema in pig: L. R. Harrison et al., J. Vet. Diagn. Invest. 2, 217 (1990). Association of B1, B2 with human esophageal cancer: J. P. Rheeder et al., Phytopathology 82, 353 (1992). Metabolism: G. S. Shephard et al., Toxicon 30, 768 (1992). Toxicity and carcinogenicity in rat: W. C. A. Gelderblom et al., Carcinogenesis 12, 1247 (1991). Toxicology in pig: W. H. Haschek et al., Mycopathologia 117, 83 (1992). LC determn in corn of B series fumonisins: M. E. Stack, R. M. Eppley, J. Assoc. Off. Anal. Chem. 75, 834 (1992); P. A. Murphy et al., J. Agric. Food Chem. 41, 263 (1993). Review of animal toxicoses: P. F. Ross et al., Mycopathologia 117, 109-114 (1992). Review: W. P. Norred, J. Toxicol. Environ. Health 38, 309-328 (1993).

Other Monographs:
PyritinolMargatoxinOil of OrangePotassium Ferricyanide
Palmitic AcidAluminum IsopropoxideHexafluoroacetoneCinametic Acid
Gold MonosulfidePotassium CarbonateRimazolium MetilsulfateArmstrong's Acid
ArbutaminePalladium OxideThallium CyanideCalcium Sulfide
©2006-2023 DrugFuture->Chemical Index Database