Fructose
Structural Formula Vector Image
Title: Fructose
CAS Registry Number: 57-48-7
CAS Name: D-Fructose
Additional Names: b-D-fructose; levulose; fruit sugar
Trademarks: Fructosteril; Laevoral (Laevosan); Levugen; Laevosan (Laevosan)
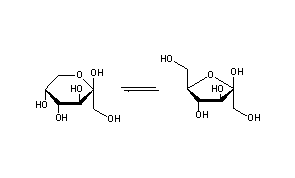
Molecular Formula: C6H12O6
Molecular Weight: 180.16
Percent Composition: C 40.00%, H 6.71%, O 53.28%
Literature References: Occurs in a large number of fruits, honey, and as the sole sugar in bull and human semen: Auerbach, Bodlander, Angew. Chem. 36, 602 (1923); Mann, Nature 157, 79 (1946); Pryde, ibid. 660. Prepd by adding abs alcohol to the syrup obtained from the acid hydrolysis of inulin: Bates et al., Natl. Bur. Std. Circ. C440, 399 (1942). Prepn from dextrose: Cantor, Hobbs, US 2354664 (1944 to Corn Prod. Refining). From sucrose by enzymatic conversion: Koepsell et al., US 2729587 (1956 to U.S.A.). Crystal and molecular structure: J. A. Kanters et al., Acta Crystallogr. B33, 665 (1977). Review: Barry, Honeyman, Adv. Carbohydr. Chem. 7, 53-98 (1952); M. Chen, R. L. Whistler, ibid. 34, 285-343 (1977). Occurs in both the furanose and pyranose forms. An aq soln at 20° contains about 20% of the furanose form.
Properties: Orthorhombic, bisphenoidal prisms from alc, dec 103-105°. Sweetest of the sugars. Shows mutarotation. [a]D20 -132° to -92° (c = 2). Rapid and anomalous mutarotation involves pyranose-furanose interconversion. The final value is obtained instantly in the presence of hydroxyl ions. pKa (18°): 12.06. Freely sol in water. One gram dissolves in 15 ml alc, in 14 ml methanol. Slightly sol in cold, freely in hot acetone; sol in pyridine, ethylamine, methylamine.
pKa: pKa (18°): 12.06
Optical Rotation: [a]D20 -132° to -92° (c = 2)
 
Derivative Type: Ferric Form
CAS Registry Number: 12286-76-9
Manufacturers' Codes: CB-302
Trademarks: Ferritose (Calbiochem)
Literature References: Prepn: Stitt et al., Proc. Soc. Exp. Biol. Med. 110, 70 (1962); Saltman, Charley, US 3074927 and US 3275514 (1966).
 
Use: To prevent sandiness in ice cream.
Therap-Cat: Fluid and nutrient replenisher, and ferric form as hematinic.
Therap-Cat-Vet: For bovine ketosis.

Other Monographs:
Magnesium Phosphate, TribasicThallium SelenideOxamylClodronic Acid
Birch Tar Oil, EmpyreumaticTiludronic AcidFerrous GluconateHetastarch
ThiocolchicineTuaminoheptaneMolybdenum HexafluorideMofebutazone
ErythrophlamineLolineTrofosfamideβ-Amino-α-methylphenethyl Alcohol
©2006-2023 DrugFuture->Chemical Index Database