Flumedroxone Acetate
Structural Formula Vector Image
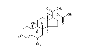
Title: Flumedroxone Acetate
CAS Registry Number: 987-18-8
CAS Name: (6a)-17-(Acetyloxy)-6-(trifluoromethyl)pregn-4-ene-3,20-dione
Additional Names: 17-hydroxy-6a-(trifluoromethyl)pregn-4-ene-3,20-dione acetate; 17-acetoxy-6a-(trifluoromethyl)progesterone; 17-hydroxy-6a-(trifluoromethyl)progesterone acetate; 6a-(trifluoromethyl)-17-hydroxyprogesterone acetate
Manufacturers' Codes: WG-537
Trademarks: Demigran (Leo Pharm)
Molecular Formula: C24H31F3O4
Molecular Weight: 440.50
Percent Composition: C 65.44%, H 7.09%, F 12.94%, O 14.53%
Literature References: Prepn: Godtfredsen, Vangedal, Acta Chem. Scand. 15, 1786 (1961); Godtfredsen, GB 905694 (1962 to Lövens Komiske Fabrik). Solubilization study: T. Lovgren et al., Acta Pharm. Suec. 15, 233 (1978).
Properties: Solid, mp 206-207°. [a]D20 +30°. uv max (ethanol): 234 nm (e 15600).
Melting point: mp 206-207°
Optical Rotation: [a]D20 +30°
Absorption maximum: uv max (ethanol): 234 nm (e 15600)
Therap-Cat: Antimigraine.
Keywords: Antimigraine.
 
 
Status: This monograph has been retired and is no longer subject to revision or update.

Other Monographs:
Lithium BenzoateAmmonium BinoxalatePropoxycaine HydrochlorideAgaric
Cobaltous OxalateIdazoxanEndiandric AcidsFulvestrant
Penicillin G CalciumSelectride®Oil of PatchouliMethyl Dihydrojasmonate
Phosphorus HemitriselenideStannic Selenide1-Naphthol-2-sulfonic AcidSarkomycin
©2006-2023 DrugFuture->Chemical Index Database