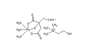
Ferrocholinate
Structural Formula Vector Image
Title: Ferrocholinate
CAS Registry Number: 1336-80-7
CAS Name: 2-Hydroxy-N,N,N-trimethylethanaminium (OC-6-44)-triaqua[2-(hydroxy-kO)-1,2,3-propanetricarboxylato(4-)-kO1,kO2]ferrate(1-)
Additional Names: [hydrogen citrato(3-)]triaquoiron, choline salt; iron choline citrate complex
Molecular Formula: C11H24FeNO11
Molecular Weight: 402.15
Percent Composition: C 32.85%, H 6.02%, Fe 13.89%, N 3.48%, O 43.76%
Literature References: Chelate prepd by interaction of equimolar quantities of choline dihydrogen citrate and freshly prepd Fe(OH)3 or FeCO3: F. J. Bandelin, US 2575611 (1951 to Flint Eaton); by treatment of a freshly prepd solution of ferric citrate with an equimolar amount of choline: J. K. Chakrabarti, S. P. Sen, Chem. Ind. (London) 1961, 1407. Pediatric use in anemia: J. Rose, Clin. Med. 69, 1601 (1962). Clinical evaluation in iron deficient infants: J. C. Lee, J. Catholic Med. Coll. 30, 479 (1977). Pharmaceutical prepn, characteristics and applications: G. N. Bookwalter et al., J. Food Sci. 38, 618 (1973). Bioavailability in pigs: E. R. Miller et al., J. Anim. Sci. 52, 783 (1981). Brief review in anemia: P. P. Gerbino, K. J. Tietze, Am. J. Pharm. 155, 49-62 (1983).
Properties: Greenish-brown, reddish-brown or brown amorphous solid with glistening surface upon fracture. Freely sol in water, yielding stable solns; sol in acids, alkalies. One gram of pharmaceutical grade is equivalent to 120 mg of elemental iron and 360 mg of choline base.
NOTE: Was sold commerically under the names Chel-Iron, Ferrolip, Chelafer. Ferrocholinate is also used for other combinations of iron, choline and citric acid.
Therap-Cat: Formerly as a hematinic.

Other Monographs:
ActinoquinolAmmonium HexafluorosilicateMeglumine Diatrizoatep-Nitrosodiphenylamine
β-GlucogallinBruceantinPropylidene ChlorideZopiclone
Indium OxidePhaseolinSenecialdehydeMelinamide
PyrithiamineInsulin-like Growth FactorsNitric OxideChorionic Gonadotropin
©2006-2023 DrugFuture->Chemical Index Database