Elliptinium Acetate
Structural Formula Vector Image
Title: Elliptinium Acetate
CAS Registry Number: 58337-35-2
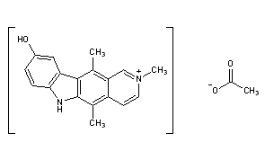
CAS Name: 9-Hydroxy-2,5,11-trimethyl-6H-pyrido[4,3-b]carbazolium acetate (salt)
Additional Names: 9-hydroxy-2-methylellipticinium acetate; HME
Manufacturers' Codes: NSC-264137
Trademarks: Celiptium (Sanofi-Aventis)
Molecular Formula: C20H20N2O3
Molecular Weight: 336.38
Percent Composition: C 71.41%, H 5.99%, N 8.33%, O 14.27%
Literature References: Deriv of ellipticine, q.v., with anticancer activity. Prepn: J. LePecq et al., DE 2618223; J. B. LePecq, C. Paoletti, US 4310667 (1976, 1982 both to Agence Nat. Valorisation Recher.). Activity vs L 1210 mouse leukemia: eidem, C.R. Seances Acad. Sci. Ser. D 281, 1365 (1975). HPLC determn: G. Muzard, J. B. LePecq, J. Chromatogr. 169, 446 (1979). Metabolism, disposition: N. Van-Bac et al., Cancer Treat. Rep. 64, 879 (1980). Antitumor activity, pharmacology, toxicity study: C. Paoletti et al., Recent Results Cancer Res. 74, 107 (1980). Use in treatment of breast cancers: J. Rouesse et al., Bull. Cancer 68, 437 (1981). Cytochemical and autoradiographic study: N. Sales, E. Puvion, Eur. J. Cancer Clin. Oncol. 18, 291 (1982).
Therap-Cat: Antineoplastic.
Keywords: Antineoplastic; Alkaloids/Natural Products.

Other Monographs:
Lycopodineo-Cresyl AcetateAllopregnane-3α,11β,17α,21-tetrol-20-oneOxomemazine
HexafluorobenzeneSorbitolAntimony Trichloride SolutionTribromsalan
Beryllium NitridePyroligneous Acid2-Ethylphenol6-Deoxy-L-ascorbic Acid
CinnamedrineBendroflumethiazideRed Fluorescent ProteinBarnidipine
©2006-2023 DrugFuture->Chemical Index Database