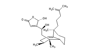
Dysidiolide
Structural Formula Vector Image
Title: Dysidiolide
CAS Registry Number: 182136-94-3
CAS Name: (5R)-5-Hydroxy-4-[(1R)-1-hydroxy-2-[(1R,2R,5S,8aS)-1,2,3,5,6,7,8,8a-octahydro-1,2,5-trimethyl-5-(4-methyl-4-pentenyl)-1-naphthalenyl]ethyl]-2(5H)-furanone
Additional Names: (-)-dysidiolide
Molecular Formula: C25H38O4
Molecular Weight: 402.57
Percent Composition: C 74.59%, H 9.51%, O 15.90%
Literature References: Sesterterpene g-hydroxybutenolide with a unique carbon skeleton isolated from the marine sponge Dysidea etheria de Laubenfels. First naturally occurring inhibitor of the protein phosphatase, cdc25; the inhibition of which blocks cell division. Isolation, activity and crystal structure: S. P. Gunasekera et al., J. Am. Chem. Soc. 118, 8759 (1996). Enantioselective synthesis: E. J. Corey, B. E. Roberts, ibid. 119, 12425 (1997). Total synthesis of racemate and preliminary biological activity: S. R. Magnuson et al., ibid. 120, 1615 (1998).
Properties: Colorless crystals from CH3OH/CH2Cl2, mp 186-187°. [a]24D -11.1° (c = 0.6 in CH2Cl2/CH3OH, 1:1).
Melting point: mp 186-187°
Optical Rotation: [a]24D -11.1° (c = 0.6 in CH2Cl2/CH3OH, 1:1)

Other Monographs:
ApoptolidinBoron TrichlorideNitenpyramPseudoconhydrine
3-Amino-4-hydroxybutyric AcidPyriproxyfenNickel NitrateN,N'-Diphenyl-p-phenylenediamine
Titanium SesquisulfateClometacinNafarelinHydrogen Peroxide
ThymosinsEthyl Tartrate, Acid4-Nitrobenzoyl ChlorideAlfaxalone
©2006-2023 DrugFuture->Chemical Index Database