Dimethisterone
Structural Formula Vector Image
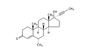
Title: Dimethisterone
CAS Registry Number: 79-64-1
CAS Name: (6a,17b)-17-Hydroxy-6-methyl-17-(1-propynyl)androst-4-en-3-one
Additional Names: 6a-methyl-17-(1-propynyl)testosterone; 6a,21-dimethyl-17b-hydroxy-17a-pregn-4-en-20-yn-3-one; 6a,21-dimethylethisterone; 17a-ethynyl-6a,21-dimethyltestosterone; 17a-ethynyl-17-hydroxy-6a,21-dimethylandrost-4-en-3-one
Trademarks: Secrosteron (obsolete)
Molecular Formula: C23H32O2
Molecular Weight: 340.50
Percent Composition: C 81.13%, H 9.47%, O 9.40%
Literature References: Orally active progestogen; formerly used in combinations as oral contraceptive. Prepn: S. P. Barton et al., J. Chem. Soc. 1959, 1957; eidem, US 2939819 (1960 to Brit. Drug Houses). Structure-activity study: G. K. Suchowsky, G. Baldratti, J. Endocrinol. 30, 159 (1964). Evaluation of risk for endometrial cancer: N. S. Weiss et al., N. Engl. J. Med. 302, 551 (1980). Review of carcinogenicity studies: IARC Monographs 21, 377-385 (1979).
Properties: Crystals, mp 102°. [a]D20 +10° (c = 1 in chloroform). uv max (isopropanol): 240 nm (E1%1cm 450). Practically insol in water. Sol in ethanol; slightly sol in acetone, chloroform.
Melting point: mp 102°
Optical Rotation: [a]D20 +10° (c = 1 in chloroform)
Absorption maximum: uv max (isopropanol): 240 nm (E1%1cm 450)
 
Derivative Type: Mixture with ethinyl estradiol
CAS Registry Number: 8015-19-8
Trademarks: Oracon (obsolete) (Mead Johnson)
 
Therap-Cat: Progestogen.
Keywords: Progestogen.

Other Monographs:
MSHPhenethyl IsothiocyanateGermanium TetrafluorideManganese Sesquioxide
Cadaverine1-Butyl-3-metanilylureaCivetoneIsovaleraldehyde
Triamcinolone AcetonideTubulinPearlman's CatalystCryolite
2,6-DimethoxyquinoneIsoquercitrinEthylparabenMethacycline
©2006-2023 DrugFuture->Chemical Index Database