Denufosol
Structural Formula Vector Image
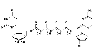
Title: Denufosol
CAS Registry Number: 211448-85-0
CAS Name: Uridine 5¢-(pentahydrogen tetraphosphate) P¢¢¢®5¢-ester with 2¢-deoxycytidine
Additional Names: P1-(uridine 5¢)-P4-(2¢-deoxycytidine 5¢)tetraphosphate; UP4dC
Molecular Formula: C18H27N5O21P4
Molecular Weight: 773.32
Percent Composition: C 27.96%, H 3.52%, N 9.06%, O 43.45%, P 16.02%
Literature References: Nucleotide P2Y2 purinoceptor agonist. Prepn: W. Pendergast et al., WO 9834942; eidem, US 6348589 (1998, 2002 both to Inspire); and structure-activity study: S. R. Shaver et al., Purinergic Signal. 1, 183 (2005). Pharmacology: B. R. Yerxa et al., J. Pharmacol. Exp. Ther. 302, 871 (2002). Clinical evaluation in cystic fibrosis: R. Deterding et al., Pediatr. Pulmonol. 39, 339 (2005).
 
Derivative Type: Tetrasodium salt
CAS Registry Number: 318250-11-2
Manufacturers' Codes: INS-37217
Molecular Formula: C18H23N5Na4O21P4
Molecular Weight: 861.25
Percent Composition: C 25.10%, H 2.69%, N 8.13%, Na 10.68%, O 39.01%, P 14.39%
 
Therap-Cat: In treatment of cystic fibrosis.
Keywords: Purinoceptor P2Y Agonist.

Other Monographs:
Silver PerchlorateECTEOLA-CelluloseOrcinol1,3-Dichloropropene
FenamiphosZirconium FluorideTetraethyl PyrophosphateDifethialone
Nickel AcetateCetraric AcidMercuric ThiocyanateLoratadine
2-Hexyldecanoic AcidTolylhydrazineTrimeprazinePhenyl Tolyl Ketone
©2006-2023 DrugFuture->Chemical Index Database