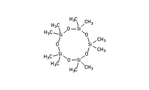
Decamethylcyclopentasiloxane
Structural Formula Vector Image
Title: Decamethylcyclopentasiloxane
CAS Registry Number: 541-02-6
Additional Names: D5
Molecular Formula: C10H30O5Si5
Molecular Weight: 370.77
Percent Composition: C 32.39%, H 8.16%, O 21.58%, Si 37.87%
Literature References: Cyclic siloxane. Isolated from the hydrolysis product of dimethyldichlorosilane: W. Patnode, D. F. Wilcock, J. Am. Chem. Soc. 68, 358 (1946). HPLC determn and GC-MS characterization of metabolites in urine: S. Varaprath et al., Drug Metab. Dispos. 31, 206 (2003). Physicochemical properties: M. Palczewska-Tulinska, P. Oracz, J. Chem. Eng. Data 50, 1711 (2005).
Properties: Colorless volatile liquid. mp -38°. bp760 210°; bp20 101°. d 0.9593. nD20 1.3982. Soly in water: 17 ppb. Vapor pressure (50°): 2 mm Hg.
Melting point: mp -38°
Boiling point: bp760 210°; bp20 101°
Index of refraction: nD20 1.3982
Density: d 0.9593
Use: Intermediate in the mfr of high mol wt siloxane polymers. Carrier ingredient in personal care products; dry cleaning solvent.

Other Monographs:
BasswoodMatrineRufigallolAllopregnane-3β,17α,21-triol-11,20-dione
Arsenic Trioxidep-Anisic AcidMagnesium Oxalate1,2-Dibromo-2,4-dicyanobutane
IsoborneolTolbutamideCilnidipineMethaqualone
m-TyrosineAmmoniacumPhenyl DichlorophosphateDipyridamole
©2006-2023 DrugFuture->Chemical Index Database