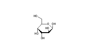
D-Altrose
Structural Formula Vector Image
Title: D-Altrose
CAS Registry Number: 1990-29-0
Additional Names: D-Altropyranose
Molecular Formula: C6H12O6
Molecular Weight: 180.16
Percent Composition: C 40.00%, H 6.71%, O 53.28%
Literature References: Prepd by the reduction of D-altronic lactone with sodium amalgam: Levene, Jacobs, Ber. 43, 3143 (1910).
Properties: Prisms from dilute alcohol, mp 103-105°. [a]D20 +32.6° (c = 7.6). Soluble in water. Practically insol in alcohol.
Melting point: mp 103-105°
Optical Rotation: [a]D20 +32.6° (c = 7.6)
 
Derivative Type: Phenylosazone
Molecular Formula: C18H22N4O4
Molecular Weight: 358.39
Percent Composition: C 60.32%, H 6.19%, N 15.63%, O 17.86%
Properties: mp 178°.
Melting point: mp 178°

Other Monographs:
SulfapyridineSunitinibMefluidide5-Hydroxytryptophan
UredepaCalusteroneSulfachlorpyridazineEmedastine
Mercufenol ChlorideLithium FormateN-AcetylpenicillamineAmmonium Sulfide Solution, Red
GlypinamideNorbormideIsoascorbic AcidPalonosetron
©2006-2023 DrugFuture->Chemical Index Database