Amaranth (Dye)
Structural Formula Vector Image
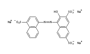
Title: Amaranth (Dye)
CAS Registry Number: 915-67-3
CAS Name: 3-Hydroxy-4-[(4-sulfo-1-naphthalenyl)azo]-2,7-naphthalenedisulfonic acid trisodium salt
Additional Names: C.I. Acid Red 27; C.I. 16185; FD & C Red No. 2; Red no. 2; 1-(4-sulfo-1-naphthylazo)-2-naphthol-3,6-disulfonic acid trisodium salt
Molecular Formula: C20H11N2Na3O10S3
Molecular Weight: 604.47
Percent Composition: C 39.74%, H 1.83%, N 4.63%, Na 11.41%, O 26.47%, S 15.91%
Literature References: Azo dye. Prepn: Knecht, J. Soc. Dyers Colour. 2, 24 (1886). See also Colour Index vol. 4 (3rd ed., 1971) p 4093. Metabolism: J. L. Radomski, T. J. Mellinger, J. Pharmacol. Exp. Ther. 136, 259 (1962). Use as indicator: N. K. Murty, K. R. Rao, J. Indian Chem. Soc. 53, 532 (1976). Stability studies: A. Motawi, S. El-Gamal, Sci. Pharm. 48, 377 (1980). Effect of pH and concentration on reduction: J. Maslowska, J. Janiak, Zesz. Nauk. Politech. Lodz. 1994, 150. Spectrophotometric analysis: C. C. Blanco et al., Talanta 43, 1019 (1996). Review of carcinogenic risk: IARC Monographs 8, 41-60 (1975).
Properties: Dark, reddish-brown powder. Absorption max at 25°: 520 nm (water); 528 nm (acetone); 520 nm (DMF). One gram dissolves in about 15 ml water. Also reported as 7.20 g/100 ml H2O at 26°. Very slightly sol in ethanol, cellosolve. The aq soln is vivid red (1 cm layer). Discharge white by hydrosulfite on wool and silk. HCl does not change the color intensity of the soln, NaOH increases it. The aq soln is stable toward light.
Absorption maximum: Absorption max at 25°: 520 nm (water); 528 nm (acetone); 520 nm (DMF)
Use: Dyeing wool and silk bright bluish-red from an acid bath. Food colorant. As indicator. In color photography.

Other Monographs:
Thiazinamium MethylsulfateIsoamyl SalicylateIxbutRimocidin
Benzethonium Chloride2,4-DinitroresorcinolDidemnins4,4'-Diaminodiphenylamine
Ethyl PhosphorochloriditePotassium BromateSodium FerrocyanideAscaridole
FurethidineCizolirtineTetraethylammonium HydroxideDactinomycin
©2006-2023 DrugFuture->Chemical Index Database