Clobenoside
Structural Formula Vector Image
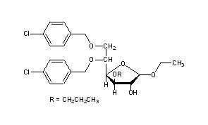
Title: Clobenoside
CAS Registry Number: 29899-95-4
CAS Name: Ethyl 5,6-bis-O-[(4-chlorophenyl)methyl]-3-O-propyl-D-glucofuranoside
Additional Names: ethyl 3-O-n-propyl-5,6-di-O-(4-chlorobenzyl)-D-glucofuranoside
Manufacturers' Codes: ZY-15028
Trademarks: Arvigol (Zyma); Floganol (Zyma)
Molecular Formula: C25H32Cl2O6
Molecular Weight: 499.42
Percent Composition: C 60.12%, H 6.46%, Cl 14.20%, O 19.22%
Literature References: Congener of tribenoside, q.v. Prepn: NL 6812906; A. Rossi, US 3542761 (1969, 1970 both to Ciba). Pharmacology and bioavailability in cats: G. Hennings et al., Arzneim.-Forsch. 35, 498 (1985). Effect on glycoprotein biosynthesis in vitro: W. Reutter, C. Bauer, Adv. Enzyme Regul. 24, 405 (1985). Mechanism of action study: D. Araujo et al., Arch. Int. Pharmacodyn. 277, 192 (1985).
Properties: Faintly yellowish oil, [a]D20 -17 ±1° (c = 1 in chloroform). Poorly sol in water.
Optical Rotation: [a]D20 -17 ±1° (c = 1 in chloroform)
Therap-Cat: Vasoprotectant.
Keywords: Vasoprotectant.

Other Monographs:
IbufenacClofoctoltert-Butyl ChloroacetatePhenethylamine
3-(o-Methoxyphenyl)-2-phenylacrylic Acidm-NitroanilineAmbutonium BromideOuabain
Vanadyl DichlorideMagnesium ThiocyanatePhenetharbitalCerium(IV) Ammonium Nitrate
BlebbistatinCarbiphenePotassium PhenolsulfonateThiokol®
©2006-2023 DrugFuture->Chemical Index Database